1. 集成学习
集成学习(ensemble learning)通过组合多个基分类器(base classifier)来完成学习任务,颇有点“三个臭皮匠顶个诸葛亮”的意味。基分类器一般采用的是弱可学习(weakly learnable)分类器,通过集成学习,组合成一个强可学习(strongly learnable)分类器。所谓弱可学习,是指学习的正确率仅略优于随机猜测的多项式学习算法;强可学习指正确率较高的多项式学习算法。集成学习的泛化能力一般比单一的基分类器要好,这是因为大部分基分类器都分类错误的概率远低于单一基分类器的。
偏差与方差
“偏差-方差分解”(bias variance decomposition)是用来解释机器学习算法的泛化能力的一种重要工具。对于同一个算法,在不同训练集上学得结果可能不同。对于训练集D={(x1,y1),(x2,y2),⋯,(xN,yN)},由于噪音,样本x的真实类别为yD(在训练集中的类别为y),则噪声为

学习算法的期望预测为

使用样本数相同的不同训练集所产生的方法

期望输入与真实类别的差别称为bias,则


也就是说,误差可以分解为3个部分:bias、variance、noise。bias度量了算法本身的拟合能力,刻画模型的准确性;variance度量了数据扰动所造成的影响,刻画模型的稳定性。为了取得较好的泛化能力,则需要充分拟合数据(bias小),并受数据扰动的影响小(variance小)。但是,bias与variance往往是不可兼得的:
当训练不足时,拟合能力不够强,数据扰动不足以产生较大的影响,此时bias主导了泛化错误率;
随着训练加深时,拟合能力随之加强,数据扰动渐渐被学习到,variance主导了泛化错误率。
Bagging与Boosting
集成学习需要解决两个问题:
如何调整输入训练数据的概率分布及权值;
如何训练与组合基分类器。
从上述问题的角度出发,集成学习分为两类流派:Bagging与Boosting。Bagging(Bootstrap Aggregating)对训练数据擦用自助采样(boostrap sampling),即有放回地采样数据;每一次的采样数据集训练出一个基分类器,经过MM次采样得到MM个基分类器,然后根据最大表决(majority vote)原则组合基分类器的分类结果。

Boosting的思路则是采用重赋权(re-weighting)法迭代地训练基分类器,即对每一轮的训练数据样本赋予一个权重,并且每一轮样本的权值分布依赖上一轮的分类结果;基分类器之间采用序列式的线性加权方式进行组合。

从“偏差-方差分解”的角度看,Bagging关注于降低variance,而Boosting则是降低bias;Boosting的基分类器是强相关的,并不能显著降低variance。Bagging与Boosting有分属于自己流派的两大杀器:Random Forests(RF)和Gradient Boosting Decision Tree(GBDT)。本文所要讲的AdaBoost属于Boosting流派。
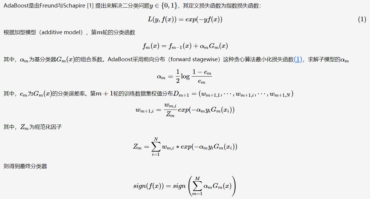
2. AdaBoost算法

αm是em的单调递减函数,特别地,当em≤12时,αm≥0;当em>12时,即基分类器不满足弱可学习的条件(比随机猜测好),则应该停止迭代。具体算法流程如下:
D1(i)=1/ND1(i)=1/N % Initialize the weight distribution
for m=1,⋯,Mm=1,⋯,M:
learn base classifier Gm(x)Gm(x);
if em>0.5em>0.5 then break;
update αmαm and Dm+1Dm+1;
end for
在算法第4步,学习过程有可能停止,导致学习不充分而泛化能力较差。因此,可采用“重采样”(re-sampling)避免训练过程过早停止;即抛弃当前不满足条件的基分类器,基于重新采样的数据训练分类器,从而获得学习“重启动”机会。
AdaBoost能够自适应(addaptive)地调整样本的权值分布,将分错的样本的权重设高、分对的样本的权重设低;所以被称为“Adaptive Boosting”。sklearn的AdaBoostClassifier实现了AdaBoost,默认的基分类器是能fit()带权值样本的DecisionTreeClassifier。