SVM(Support Vector Machines)是分类算法中应用广泛、效果不错的一类。《统计学习方法》对SVM的数学原理做了详细推导与论述,本文仅做整理。由简至繁SVM可分类为三类:线性可分(linear SVM in linearly separable case)的线性SVM、线性不可分的线性SVM、非线性(nonlinear)SVM。
1. 线性可分
对于二类分类问题,训练集T={(x1,y1),(x2,y2),⋯,(xN,yN)},其类别yi∈{0,1},线性SVM通过学习得到分离超平面(hyperplane):
w⋅x+b=0
以及相应的分类决策函数:
f(x)=sign(w⋅x+b)
有如下图所示的分离超平面,哪一个超平面的分类效果更好呢?

直观上,超平面B1的分类效果更好一些。将距离分离超平面最近的两个不同类别的样本点称为支持向量(support vector)的,构成了两条平行于分离超平面的长带,二者之间的距离称之为margin。显然,margin更大,则分类正确的确信度更高(与超平面的距离表示分类的确信度,距离越远则分类正确的确信度越高)。通过计算容易得到:

从上图中可观察到:margin以外的样本点对于确定分离超平面没有贡献,换句话说,SVM是有很重要的训练样本(支持向量)所确定的。至此,SVM分类问题可描述为在全部分类正确的情况下,最大化
线性分类的约束最优化问题:

对每一个不等式约束引进拉格朗日乘子(Lagrange multiplier)αi≥0 , i=1,2,⋯,N;构造拉格朗日函数(Lagrange function):


线性可分是理想情形,大多数情况下,由于噪声或特异点等各种原因,训练样本是线性不可分的。因此,需要更一般化的学习算法。
2. 线性不可分
线性不可分意味着有样本点不满足约束条件(2)(2),为了解决这个问题,对每个样本引入一个松弛变量ξi≥0ξi≥0,这样约束条件变为:
yi(w⋅xi+b)≥1−ξi
目标函数则变为

其中,CC为惩罚函数,目标函数有两层含义:
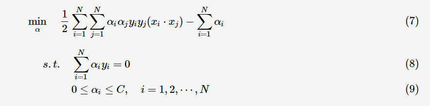
CC为调节二者的参数。通过构造拉格朗日函数并求解偏导(具体推导略去),可得到等价的对偶问题:

与上一节中线性可分的对偶问题相比,只是约束条件αi发生变化,问题求解思路与之类似。
3. 非线性
对于非线性问题,线性SVM不再适用了,需要非线性SVM来解决了。解决非线性分类问题的思路,通过空间变换ϕϕ(一般是低维空间映射到高维空间x→ϕ(x)x→ϕ(x))后实现线性可分,在下图所示的例子中,通过空间变换,将左图中的椭圆分离面变换成了右图中直线。

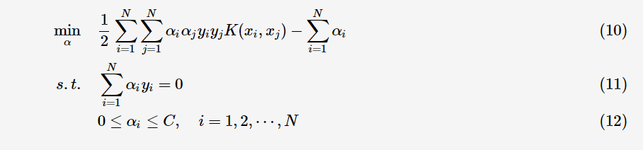
在SVM的等价对偶问题中的目标函数中有样本点的内积xi⋅xj,在空间变换后则是ϕ(xi)⋅ϕ(xj),由于维数增加导致内积计算成本增加,这时核函数(kernel function)便派上用场了,将映射后的高维空间内积转换成低维空间的函数:
K(x,z)=ϕ(x)⋅ϕ(z)
将其代入一般化的SVM学习算法的目标函数(7)中,可得非线性SVM的最优化问题:
