1. 引言
PageRank是Sergey Brin与Larry Page于1998年在WWW7会议上提出来的,用来解决链接分析中网页排名的问题。在衡量一个网页的排名,直觉告诉我们:
当一个网页被更多网页所链接时,其排名会越靠前;
排名高的网页应具有更大的表决权,即当一个网页被排名高的网页所链接时,其重要性也应对应提高。
对于这两个直觉,PageRank算法所建立的模型非常简单:一个网页的排名等于所有链接到该网页的网页的加权排名之和:
(1)
PRi 表示第i个网页的PageRank值,用以衡量每一个网页的排名;若排名越高,则其PageRank值越大。网页之间的链接关系可以表示成一个有向图G=(V,E),边(j,i)代表了网页j链接到了网页i;Oj为网页j的出度,也可看作网页j的外链数( the number of out-links)。
假定P=(PR1,PR2,⋯,PRn)T为n维PageRank值向量,A为有向图G所对应的转移矩阵,
Aij={1Oi0if (i,j)∈EotherwiseAij={1Oiif (i,j)∈E0otherwise
n个等式(1)可改写为矩阵相乘:
P=ATP (2)
但是,为了获得某个网页的排名,而需要知道其他网页的排名,这不就等同于“是先有鸡还是先有蛋”的问题了么?幸运的是,PageRank采用power iteration方法破解了这个问题怪圈。
2. 求解
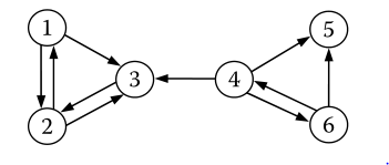
为了对上述及以下求解过程有个直观的了解,我们先来看一个例子,网页链接关系图如下图所示:

那么,矩阵A即为

所谓power iteration,是指先给定一个P的初始值P0,然后通过多轮迭代求解:
Pk=ATPk−1
最后收敛于||Pk−Pk−1||<ξ,即差别小于某个阈值。我们发现式子(2)为一个特征方程(characteristic equation),并且解P是当特征值(eigenvalue)为1时的特征向量(eigenvector)。为了满足(2)是有解的,则矩阵A应满足如下三个性质:
stochastic matrix,则行至少存在一个非零值,即必须存在一个外链接(没有外链接的网页被称为dangling pages);
不可约(irreducible),即矩阵A所对应的有向图G必须是强连通的,对于任意两个节点u,v∈V,存在一个从u到v的路径;
非周期性(aperiodic),即每个节点存在自回路。
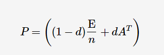
显然,一般情况下矩阵A这三个性质均不满足。为了满足性质stochastic matrix,可以把全为0的行替换为e/n,其中e为单位向量;同时为了满足性质不可约、非周期,需要做平滑处理:

其中,d为 damping factor,常置为0与1之间的一个常数;E为单位阵。那么,式子(1)被改写为
