投资中有一个常规的特点,即投资标的的预期报酬越高,投资人所能忍受的波动风险越高;反之,预期报酬越低,波动风险也越低。所以理性的投资人选择投资标的与投资组合的主要目的为:在固定所能承受的风险下,追求最大的报酬;或在固定的预期报酬下,追求最低的风险。
1990年度诺贝尔经济学奖得主威廉-夏普(WilliamSharpe)以投资学最重要的理论基础CAPM(CapitalAssetPricingModel,资本资产定价模式)为出发,发展出名闻遐迩的夏普比率(SharpeRatio),用以衡量金融资产的绩效表现。威廉-夏普理论的核心思想是:理性的投资者将选择并持有有效的投资组合,即那些在给定的风险水平下使期望回报最大化的投资组合,或那些在给定期望回报率的水平上使风险最小化的投资组合。解释起来非常简单,他认为投资者在建立有风险的投资组合时,至少应该要求投资回报达到无风险投资的回报,或者更多。
夏普比率计算公式:=[E(Rp)-Rf]/σp
其中E(Rp):投资组合预期报酬率
Rf:无风险利率
σp:投资组合的标准差
目的是计算投资组合每承受一单位总风险,会产生多少的超额报酬。比率依据资本市场线(CapitalMarketLine,CML)的观念而来,是市场上最常见的衡量比率。当投资组合内的资产皆为风险性资产时,适用夏普比率。夏普指数代表投资人每多承担一分风险,可以拿到几分报酬;若为正值,代表基金报酬率高过波动风险;若为负值,代表基金操作风险大过于报酬率。这样一来,每个投资组合都可以计算Sharperatio,即投资回报与多冒风险的比例,这个比例越高,投资组合越佳。
举例而言,假如国债的回报是3%,而您的投资组合预期回报是15%,您的投资组合的标准偏差是6%,那么用15%-3%,可以得出12%(代表您超出无风险投资的回报),再用12%÷6%=2,代表投资者风险每增长1%,换来的是2%的多余收益。
夏普理论告诉我们,投资时也要比较风险,尽可能用科学的方法以冒小风险来换大回报。所以说,投资者应该成熟起来,尽量避免一些不值得冒的风险。同时当您在投资时如缺乏投资经验与研究时间,可以让真正的专业人士(不是只会卖金融产品给你的SALES)来帮到您建立起适合自己的,可承受风险最小化的投资组合。这些投资组合可以通过SharpeRatio来衡量出风险和回报比例。
二.如何衡量投资策略的优劣-夏普比率
通常情况下,我们跟大多数人交流股票投资的时候,往往会说:我今年赚了100%。非常不错。单从收益率上来看,确实还不错,但是我用另一个策略也赚了100%,而这两个100%的质量可能完全不一样。比如左边是他的,右边是我的。

区别在哪儿呢,就在这个最大回撤上,他最多的时候回撤了50%以上,而我的收益曲线很稳定地往上走。有什么用,举个简单的例子就明白了,我们都借一倍的钱,继续用原来的策略进行操作。不考虑利息,相对于本金的收益结果就成了下面的样子。看的出来,我可以坚持到周期结束并且收益翻倍,然而他在最大亏损时已经亏光出局了。毫无疑问,我的策略优于他。

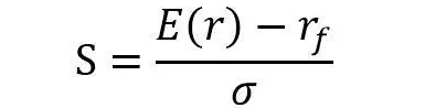
通过上面的例子应该明白,衡量一个投资策略的时候,单一地用收益率或回撤都是不科学的,应当将这两者结合。而我们常说的风险,并不是指要承担多么大的亏损或回撤,而是需要承担多大的波动。因此有了这个指标:夏普比率。用来衡量承担单位风险所能获得的收益。其公式为:

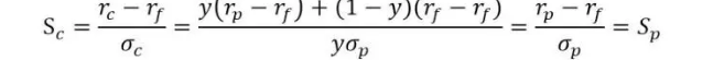
其中S表示夏普比率,E(r)表示预期收益率,rf表示无风险收益。E(r)-rf即为超额收益率,为收益曲线的标准差(波动率)。夏普率的解释大概就是这样子,大多数情况下,我们买股票或者其他投资品的时候,可能不是全仓,也可能加杠杆。我们假设我们的投资组合中,风险资产(如股票等)的比例为y,预期收益率为rp,波动率为:

而标准差为:

因此代入夏普比率公式得:

可以得出这么个结论,不管组合中风险资产的比例如何,组合的夏普比率是不会变的。什么会变?我们可以通过调整仓位或加杠杆,改变组合的波动和收益率,这就是资本市场线。所以了,单看收益并没有什么卵用,还得波动小才行。

图中的r0是无风险收益,直线的斜率就是夏普比率。另外实际生活中,加杠杆,也就是借钱一定需要支付利息,于是,正常的图形应该会有个折点。

基本就是这样,衡量一个投资策略,单看收益率和波动性,都是不科学的,应当两者兼顾,也就是看这个夏普比率,我们应当在同样的风险下,追求高收益。而同一夏普下,收益率是可以通过仓位调节来控制的。