1、原理回顾
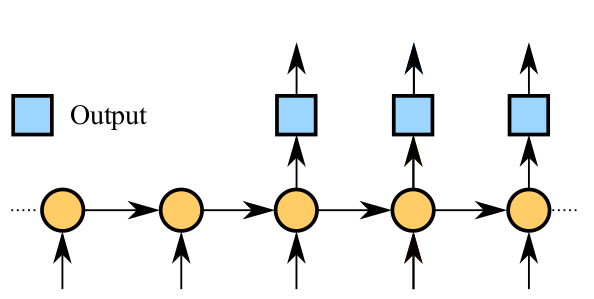
机器作词是序列建模(以下简称seq2seq)的典型应用,其基本思想就是给定序列A,机器负责产生序列B,并且再将序列B作为输入,机器负责生成序列C...如此循环下去即可生成无限长度的序列。seq2seq模型图如下所示,左边是编码器,右边是解码器。

假设问题是从序列A到序列B之间的映射,那么seq2seq模型的工作流程如下:
序列A中的每一个单词通过word_embedding操作以后,作为input进入编码器,编码器可以是一个多层RNN结构,编码器输出一个向量;
训练的时候,解码器的输入跟编码器的输入是一样的,然后解码器的输出与序列B之间的交叉熵作为模型的目标函数;
生成的时候,首先给定一个种子序列作为编码器的输入,并且解码器的上一时刻的输出作为下一时刻的输入,如此循环往复,直到生成给定数量的序列。
本文建立的模型就是基于以上原理。
2、模型代码设计
要完成机器生成歌词的工作看上去是一个生成模型,而生成模型一般都是无监督问题,但是我们需要将它转化成有监督问题,原因是使用有监督学习可以发现数据内在的关联性,比如上下文的衔接,然后用预测学习来代替无监督学习。
就有监督学习而言,通常我们需要准备好具有映射关系的数据集:X和Y。这里我们事先只有周杰伦的歌词文本,它是一个整体,如何确定X和Y?虽然它是一个整体,但是这个整体是序列组成的,序列与序列之间会有一定的时序关系。比如对于
天青色等烟雨 而我在等你
我们是不是可以把“天青色等烟雨”看作X,把“ 而我在等你”看作Y,如果我们将X输入进网络,而网络输出的是Y,那就说明我们构建的网络已经具备写歌词的能力了。这就是我们划分数据集为X和Y的原理。一般情况下,数据需要划分为训练集和测试集,由于时间的缘故,这里我没有划分测试集了。
当我们把数据预处理做好了,接下来就是构建模型了,构建模型主要是围绕seq2seq模型,而在编码器和解码器部分,我们可以自由构造,如可以选择不同的rnn_cell,或者选择不同的层数、神经元个数,具体情况因数据量大小而定。构建有监督学习模型的最重要部分就是目标函数,并且要确保目标函数对于所有要训练的参数是可微的,这样我们就可以构建端对端的基于后向误差更新的深度学习系统。
当有监督学习训练的模型的误差已经满足我们的要求了,就可以把参数保存下来,以便利用这个模型去生成歌词。生成模型的构建其实就是一个抽样的过程,给定种子序列,选好特定的抽样方法,即可生成无限多个汉字组成的序列。
为了了解训练过程中的误差更新趋势,我们还需要建立日志记录以及日志可视化的部分,这样以便于我们做后期的模型性能分析,本文中会粗略提及。
本项目的文件结构如下图所示:
.
├── analysis
│ └── plot.py
├── data
│ ├── context.npy
│ ├── lyrics.txt
│ ├── origin.txt
│ ├── parse.py
│ └── vocab.pkl
├── log
│ ├── 2016-12-1022:11:22.txt
│ └── 2016-12-1022:11:22.txt.png
├── preprocess.py
├── README.md
├── result
│ └── sequence
├── sample.py
├── save
│ ├── checkpoint
│ ├── config.pkl
│ ├── model.ckpt-223
│ ├── model.ckpt-223.meta
│ └── words_vocab.pkl
├── seq2seq_rnn.py
├── train.py
└── utils.py
它们的功能分别如下:
主目录下面的utils.py是公共函数库,preprocess.py是数据预处理代码,seq2seq_rnn.py是模型代码,sample.py是抽样生成过程,train.py是训练过程;
log目录中存储的是训练过程中的日志文件;
save目录中存储的是训练过程中的模型存储文件;
data目录中存放的是原始歌词数据库以及处理过的数据库;
result目录中存放的是生成的序列;
analysis目录中存放的是用于可视化的代码文件;
3、数据预处理
原始歌词文件是从百度文库中下载的,其中包括了一些不必要的文本,并且我过滤了所有的非中文字符,并且使用空格分隔相邻句子。例如下面一段代码的作用就是剔除源歌词文件中的多余空格以及非中文字符:
reg = re.compile(ur"[\s+]")
c = reg.sub(' ',unicode(c))
reg = re.compile(ur"[^\u4e00-\u9fa5\s]")
c = reg.sub('',unicode(c))
c = c.strip()
将源歌词文件处理成连续的句子文件以后,下一步就是将这么多句子划分成很多对训练样本。首先我们需要统计歌词中所有不同汉字的总数(包括一个空格),并且对这些汉字进行索引,可将原文由汉字变成整型数组,这样训练的时候读取数组就可以了;另外,索引还可以用来进行word_embedding,即将每个单词映射成一个特征向量。下面一段代码就是建立词典以及上下文的过程:
def build_dataset(self):
''' parse all sentences to build a vocabulary
dictionary and vocabulary list
'''
with codecs.open(self.input_file, "r",encoding='utf-8') as f:
data = f.read()
wordCounts = collections.Counter(data)
self.vocab_list = [x[0] for x in wordCounts.most_common()]
self.vocab_size = len(self.vocab_list)
self.vocab_dict = {x: i for i, x in enumerate(self.vocab_list)}
with codecs.open(self.vocab_file, 'wb',encoding='utf-8') as f:
cPickle.dump(self.vocab_list, f)
self.context = np.array(list(map(self.vocab_dict.get, data)))
np.save(self.context_file, self.context)
然后确定我们要建立的每对样本的长度以及训练时候的batch_size大小,进而把数据集分成很多个mini-batch,可以在训练的时候依次读取。这里需要注意的是,为了预处理方便,我们选择了固定长度作为样本序列的长度,并且让X和Y的长度一致,从数据集中选取X和Y的时候每次滑动步长为1,间隔也为1,如下代码所示:
def init_batches(self):
'''
Split the dataset into mini-batches,
xdata and ydata should be the same length here
we add a space before the context to make sense.
'''
self.num_batches = int(self.context.size / (self.batch_size * self.seq_length))
self.context = self.context[:self.num_batches * self.batch_size * self.seq_length]
xdata = self.context
ydata = np.copy(self.context)
ydata[:-1] = xdata[1:]
ydata[-1] = xdata[0]
self.x_batches = np.split(xdata.reshape(self.batch_size, -1), self.num_batches, 1)
self.y_batches = np.split(ydata.reshape(self.batch_size, -1), self.num_batches, 1)
self.pointer = 0
可以看到Y的最后一个数是设置为X的第一个数,因此我们在数据集的开头插入了一个空格使得整体连贯。pointer是作为标记来用的,它的作用是标记当前训练的是哪一个mini-batch,如果所有mini-batch都训练过了,即完成了一个Epoch,那么pointer将置零,如下面代码所示:
def next_batch(self):
''' pointer for outputing mini-batches when training
'''
x, y = self.x_batches[self.pointer], self.y_batches[self.pointer]
self.pointer += 1
if self.pointer == self.num_batches:
self.pointer = 0
return x, y
4、编写基于LSTM的seq2seq模型
数据预处理完成以后,接下来就是建立seq2seq模型了。建立模型主要分为三步:
确定好编码器和解码器中cell的结构,即采用什么循环单元,多少个神经元以及多少个循环层;
将输入数据转化成tensorflow的seq2seq.rnn_decoder需要的格式,并得到最终的输出以及最后一个隐含状态;
将输出数据经过softmax层得到概率分布,并且得到误差函数,确定梯度下降优化器;
由于tensorflow提供的rnncell共有三种,分别是RNN、GRU、LSTM,因此这里我们也提供三种选择,并且每一种都可以使用多层结构,即MultiRNNCell,如下代码所示:
if args.rnncell == 'rnn':
cell_fn = rnn_cell.BasicRNNCell
elif args.rnncell == 'gru':
cell_fn = rnn_cell.GRUCell
elif args.rnncell == 'lstm':
cell_fn = rnn_cell.BasicLSTMCell
else:
raise Exception("rnncell type error: {}".format(args.rnncell))
cell = cell_fn(args.rnn_size)
self.cell = rnn_cell.MultiRNNCell([cell] * args.num_layers)
选择好了cell的结构以后,接下来就是将输入数据传递的seq2seq模型中了,tensorflow的seq2seq.py文件中提供了多个用于建立seq2seq的函数,这里我选择了两个,分别是rnn_decoder以及attention_decoder,下面以rnn_decoder为例。从tensorflow源码中可以看到,rnn_decoder函数主要有四个参数,它们的注释如下:
decoder_inputs: A list of 2D Tensors [batch_size x input_size].
initial_state: 2D Tensor with shape [batch_size x cell.state_size].
cell: rnn_cell.RNNCell defining the cell function and size.
loop_function: If not None, this function will be applied to the i-th output
in order to generate the i+1-st input, and decoder_inputs will be ignored,
except for the first element ("GO" symbol). This can be used for decoding,
but also for training to emulate http://arxiv.org/abs/1506.03099.
Signature -- loop_function(prev, i) = next
* prev is a 2D Tensor of shape [batch_size x output_size],
* i is an integer, the step number (when advanced control is needed),
* next is a 2D Tensor of shape [batch_size x input_size].
可以看到,decoder_inputs其实就是输入的数据,要求的格式为一个list,并且list中的tensor大小应该为[batch_size,input_size],换句话说这个list的长度就是seq_length;但我们原始的输入数据的维度为[args.batch_size, args.seq_length],是不是感觉缺少了一个input_size维度,其实这个维度就是word_embedding的维度,或者说word2vec的大小,这里需要我们手动进行word_embedding,并且这个embedding矩阵是一个可以学习的参数:
self.input_data = tf.placeholder(tf.int32, [args.batch_size, args.seq_length])with tf.variable_scope('rnnlm'):
softmax_w = build_weight([args.rnn_size, args.vocab_size],name='soft_w')
softmax_b = build_weight([args.vocab_size],name='soft_b')
word_embedding = build_weight([args.vocab_size, args.embedding_size],name='word_embedding')
inputs_list = tf.split(1, args.seq_length, tf.nn.embedding_lookup(word_embedding, self.input_data))
inputs_list = [tf.squeeze(input_, [1]) for input_ in inputs_list]
initial_state是cell的初始状态,其维度是[batch_size,cell.state_size],由于rnn_cell模块提供了对状态的初始化函数,因此我们可以直接调用:
self.initial_state = self.cell.zero_state(args.batch_size, tf.float32)
cell就是我们要构建的解码器和编码器的cell,上面已经提过了。最后一个参数是loop_function,其作用是在生成的时候,我们需要把解码器上一时刻的输出作为下一时刻的输入,并且这个loop_function需要我们自己写,如下所示:
def loop(prev, _):
prev = tf.matmul(prev, softmax_w) + softmax_b
prev_symbol = tf.stop_gradient(tf.argmax(prev, 1))
return tf.nn.embedding_lookup(embedding, prev_symbol)
最后,我们就可以构建好seq2seq的模型了,将上面参数传入rnn_decoder函数即可:
outputs, last_state = seq2seq.rnn_decoder(inputs_list, self.initial_state, self.cell, loop_function=loop if infer else None, scope='rnnlm')
其中outputs是与decoder_inputs同样维度的量,即每一时刻的输出;last_state的维度是[batch_size,cell.state_size],即最后时刻的所有cell的状态。接下来需要outputs来确定目标函数,而last-state的作用是作为抽样生成函数下一时刻的状态。
tensorflow中提供了sequence_loss_by_example函数用于按照权重来计算整个序列中每个单词的交叉熵,返回的是每个序列的log-perplexity。为了使用sequence_loss_by_example函数,我们首先需要将outputs通过一个前向层,同时我们需要得到一个softmax概率分布,这个在生成中会用到:
output = tf.reshape(tf.concat(1, outputs), [-1, args.rnn_size])
self.logits = tf.matmul(output, softmax_w) + softmax_b
self.probs = tf.nn.softmax(self.logits)
loss = seq2seq.sequence_loss_by_example([self.logits],
[tf.reshape(self.targets, [-1])],
[tf.ones([args.batch_size * args.seq_length])],
args.vocab_size)
# average loss for each word of each timestepself.cost = tf.reduce_sum(loss) / args.batch_size / args.seq_length
最后就是建立一个op,以便训练,例如var_op、var_trainable_op、train_op、initial_op、saver:
self.lr = tf.Variable(0.0, trainable=False)
self.var_trainable_op = tf.trainable_variables()
grads, _ = tf.clip_by_global_norm(tf.gradients(self.cost, self.var_trainable_op),
args.grad_clip)
optimizer = tf.train.AdamOptimizer(self.lr)
self.train_op = optimizer.apply_gradients(zip(grads, self.var_trainable_op))
self.initial_op = tf.initialize_all_variables()
self.saver = tf.train.Saver(tf.all_variables(),max_to_keep=5,keep_checkpoint_every_n_hours=1)
self.logfile = args.log_dir+str(datetime.datetime.strftime(datetime.datetime.now(),'%Y-%m-%d %H:%M:%S')+'.txt').replace(' ','').replace('/','')
self.var_op = tf.all_variables()
train_op即为训练时需要运行的。
5、编写抽样生成函数
如上所述,在抽样生成的时候,我们首先需要一个种子序列,同时在第一步的时候,我们需要向网络传入一个0的初始状态,并通过种子序列的第一个字得到下一个隐含状态,然后再结合种子的第二个字传入下一个隐含状态,直到种子序列传入完毕:
state = sess.run(self.cell.zero_state(1, tf.float32))
for word in start:
x = np.zeros((1, 1))
x[0, 0] = words[word]
feed = {self.input_data: x, self.initial_state:state}
[probs, state] = sess.run([self.probs, self.final_state], feed)
种子序列运行完毕以后,接下来就进入真正的抽样过程了,即拿上一时刻的state以及上一时刻输出probs中的最佳单词作为下一时刻的输入,那么给定了一个所有单词的概率分布probs,该时刻的最佳单词如何定义呢?这里我列举了三种情况:
argmax型:即找出probs中最大值所对应的索引,然后去单词表中找到该索引对应的单词即为最佳单词;
weighted型:即随机取样,其工作流程如下:首先,计算此probs的累加总和S;其次,随机生成一个0~1之间的随机数,并将其与probs的总和相乘得到R;最后,将R依次减去probs中每个数,直到R变成负数的那个probs的索引,即为我们要挑选的最佳单词;
combined型: 这里我把argmax和weighted结合起来了,即每次遇到一个空格(相当于一句歌词的结尾),就使用weighted型,而其他时候都使用argmax型;
这三种的实现方式如下所示:
def random_pick(p,word,sampling_type):
def weighted_pick(weights):
t = np.cumsum(weights)
s = np.sum(weights)
return(int(np.searchsorted(t, np.random.rand(1)*s)))
if sampling_type == 'argmax':
sample = np.argmax(p)
elif sampling_type == 'weighted':
sample = weighted_pick(p)
elif sampling_type == 'combined':
if word == ' ':
sample = weighted_pick(p)
else:
sample = np.argmax(p)
return sample
最后,抽样生成过程的具体代码如下所示,其中start是种子序列,attention是判断是否加入了注意力机制。
word = start[-1]
for n in range(num):
x = np.zeros((1, 1))
x[0, 0] = words[word]
if not self.args.attention:
feed = {self.input_data: [x], self.initial_state:state}
[probs, state] = sess.run([self.probs, self.final_state], feed)
else:
feed = {self.input_data: x, self.initial_state:state,self.attention_states:attention_states}
[probs, state] = sess.run([self.probs, self.final_state], feed)
p = probs[0]
sample = random_pick(p,word,sampling_type)
pred = vocab[sample]
ret += pred
word = pred
ret数组即为最终的生成序列。
6、编写训练函数
训练函数需要完成的功能主要有提供用户可设置的超参数、读取配置文件、按照mini-batch进行批训练、使用saver保存模型参数、记录训练误差等等,下面将列举部分代码进行说明。
首先,我们使用argparse.ArgumentParser对象进行解析命令行参数或者设置默认参数,例如:
parser.add_argument('--rnn_size', type=int, default=128,
help='set size of RNN hidden state')
设置了rnn_size默认大小为128,而用户也可以在命令行使用类似于以下这种方式来指定参数大小:
python train.py --rnn_size 256
其次,我们需要提供是否继续训练的判断,也就说是从头开始训练还是导入一个已经训练过的模型继续训练,即下面的语句:
if args.keep is True:
print('Restoring')
model.saver.restore(sess, ckpt.model_checkpoint_path)
else:
print('Initializing')
sess.run(model.initial_op)
然后就是将X和Y数据feed到模型中去运行op并得到误差值:
x, y = text_parser.next_batch()
feed = {model.input_data: x, model.targets: y, model.initial_state: state}
train_loss, state, _ = sess.run([model.cost, model.final_state, model.train_op], feed)
训练过程比较简单,基本上就是设置参数-导入数据-导入模型-运行op-得到误差-下一个Epoch继续训练,直到满足要求为止。
7、编写日志
这里说的日志可以理解为保存参数、保存训练过程中的误差以及训练时间等等,仅作抛砖引玉的说明。为了使得每一次训练都不会白白浪费,我们需要设置好参数保存,如可以设置训练了多少个样本就保存一次参数、训练了多少个Epoch就保存一次:
if (e*text_parser.num_batches+b)%args.save_every==0 、
or (e==args.num_epochs-1 and b==text_parser.num_batches-1):
checkpoint_path = os.path.join(args.save_dir, 'model.ckpt')
model.saver.save(sess, checkpoint_path, global_step = e)
print("model has been saved in:"+str(checkpoint_path))
记录训练误差也是很重要的一步,很多时候我们需要分析cost曲线随时间或者是迭代次数的变化趋势,因此这里我们建立了一个logging函数(在utils.py文件中),并且在每一个Epoch训练结束的时候就记录一次该Epoch的平均误差、运行时间等等:
delta_time = end - start
ave_loss = np.array(total_loss).mean()
logging(model,ave_loss,e,delta_time,mode='train')
8、编写可视化函数
由于时间的关系,这里仅对日志文件做了初步的可视化,即提取日志文件中的Epoch以及对应的误差,从而得到一条Cost-Epoch曲线,可视化的函数的部分代码如下:
if line.startswith('Epoch'):
if 'validate' in line:
index2 = index2 + 1
cost = line.split(':')[2]
indexValidateList.append(index2)
validateCostList.append(float(cost))
elif 'train error rate' in line:
index1 = index1+1
cost = line.split(':')[2]
indexCostList.append(index1)
costList.append(float(cost))
然后使用matplotlib库进行作图:
def plot(self):
title,indexCostList,costList = self.parse()
p1 = plt.plot(indexCostList,costList,marker='o',color='b',label='train cost')
plt.xlabel('Epoch')
plt.ylabel('Cost')
plt.legend()
plt.title(title)
if self.saveFig:
plt.savefig(self.logFile+'.png',dpi=100)
#plt.savefig(self.logFile+'.eps',dpi=100)
if self.showFig:
plt.show()
9、设置训练超参
超参的选择一直是训练深度学习的一个难点,无论是循环神经元的个数、层数还是训练样本批处理的大小,都没有一个固定的判断准则,超参设置因问题而已,而且很多时候论文中使用的经验规则,而我这里也只能根据我做语音识别系统的经验设置的参数。
我选择了两层LSTM,每层包含128个神经元作为seq2seq模型的cell,词向量word_embedding的大小为100,批处理大小设置为32,序列长度为16,并且使用了Adam随机梯度下降算法,学习率设置为0.001,一共训练了230个周期。
10、训练环境
本次训练的环境是Ubuntu 16.04操作系统,使用的tensorflow版本是r0.11,所使用的python版本为2.7,所用的GPU是Nvidia GeForce GTX 960M。
11、结果展示
在训练完所有Epoch以后,运用可视化函数作出了误差随训练周期的变化图像:

并且使用weighted的抽样生成方法,选择了“从前”作为种子序列,然后让机器生成了长度为200的歌词,如下所示,其中有几句看起来似乎有押韵的意思,整体上看起来不知道要表达什么,不过就算是周杰伦的很多原词我也不知道他要讲什么。
《机器作词》
从前笑 爱说走 晚到
为什么我都会开错记忆不多
幸福搁抽勾
我只为大参城真 说越没有
简单一个音 最后的秘密
大人情了解境
再继续永远都不会痛
不知道很感 但它怕开地后想念你
怕你身边 把那一天
你最好了 鸣债不手切最后走的生活
好拥有 你想的兵水停
有什么回吻你都懂不到
谁说没有结果 我是不是多提醒你
好多永远隔着对 会心碎你走罪你
谁说用手语 想要随时想能打开
想要当然魅力太强被曾人迷人蛋
12、总结
机器生成歌词跟机器作曲一样,都是序列建模的运用,本文使用了周杰伦的所有歌词,虽然训练样本较少,数据预处理较为粗糙,但是基本上把整个建模过程都认真介绍了一遍,模型超参设置仅供参考,完整代码请点击原文进入github,可以去fork一下。后续将考虑使用外部动态网络或强化学习进行持续优化。