由于深度神经网络(DNN)层数很多,每次训练都是逐层由后至前传递。传递项<1,梯度可能变得非常小趋于0,以此来训练网络几乎不会有什么变化,即vanishing gradients problem;或者>1梯度非常大,以此修正网络会不断震荡,无法形成一个收敛网络。因而DNN的训练中可以形成很多tricks。
1、初始化权重
起初采用正态分布随机化初始权重,会使得原本单位的variance逐渐变得非常大。例如下图的sigmoid函数,靠近0点的梯度近似线性很敏感,但到了,即很强烈的输入产生木讷的输出。

采用Xavier initialization,根据fan-in(输入神经元个数)和fan-out(输出神经元个数)设置权重。并设计针对不同激活函数的初始化策略,如下图(左边是均态分布,右边正态分布较为常用)

2、激活函数
一般使用ReLU,但是不能有小于0的输入(dying ReLUs)
a.Leaky RELU
改进方法Leaky ReLU=max(αx,x),小于0时保留一点微小特征。

具体应用
from tensorflow.examples.tutorials.mnist import input_data
mnist = input_data.read_data_sets("/tmp/data/")
reset_graph()
n_inputs = 28 * 28 # MNIST
n_hidden1 = 300
n_hidden2 = 100
n_outputs = 10
X = tf.placeholder(tf.float32, shape=(None, n_inputs), name="X")
y = tf.placeholder(tf.int64, shape=(None), name="y")
with tf.name_scope("dnn"):
hidden1 = tf.layers.dense(X, n_hidden1, activation=leaky_relu, name="hidden1")
hidden2 = tf.layers.dense(hidden1, n_hidden2, activation=leaky_relu, name="hidden2")
logits = tf.layers.dense(hidden2, n_outputs, name="outputs")
with tf.name_scope("loss"):
xentropy = tf.nn.sparse_softmax_cross_entropy_with_logits(labels=y, logits=logits)
loss = tf.reduce_mean(xentropy, name="loss")
learning_rate = 0.01
with tf.name_scope("train"):
optimizer = tf.train.GradientDescentOptimizer(learning_rate)
training_op = optimizer.minimize(loss)
with tf.name_scope("eval"):
correct = tf.nn.in_top_k(logits, y, 1)
accuracy = tf.reduce_mean(tf.cast(correct, tf.float32))
init = tf.global_variables_initializer()
saver = tf.train.Saver()
n_epochs = 40
batch_size = 50
with tf.Session() as sess:
init.run()
for epoch in range(n_epochs):
for iteration in range(mnist.train.num_examples // batch_size):
X_batch, y_batch = mnist.train.next_batch(batch_size)
sess.run(training_op, feed_dict={X: X_batch, y: y_batch})
if epoch % 5 == 0:
acc_train = accuracy.eval(feed_dict={X: X_batch, y: y_batch})
acc_test = accuracy.eval(feed_dict={X: mnist.validation.images, y: mnist.validation.labels})
print(epoch, "Batch accuracy:", acc_train, "Validation accuracy:", acc_test)
save_path = saver.save(sess, "./my_model_final.ckpt")
b. ELU改进
另一种改进ELU,在神经元小于0时采用指数变化


#just specify the activation function when building each layer
X = tf.placeholder(tf.float32, shape=(None, n_inputs), name="X")
hidden1 = tf.layers.dense(X, n_hidden1, activation=tf.nn.elu, name="hidden1")
c. SELU
最新提出的是SELU(仅给出关键代码)
with tf.name_scope("dnn"):
hidden1 = tf.layers.dense(X, n_hidden1, activation=selu, name="hidden1")
hidden2 = tf.layers.dense(hidden1, n_hidden2, activation=selu, name="hidden2")
logits = tf.layers.dense(hidden2, n_outputs, name="outputs")
# train 过程
means = mnist.train.images.mean(axis=0, keepdims=True)
stds = mnist.train.images.std(axis=0, keepdims=True) + 1e-10
with tf.Session() as sess:
init.run()
for epoch in range(n_epochs):
for iteration in range(mnist.train.num_examples // batch_size):
X_batch, y_batch = mnist.train.next_batch(batch_size)
X_batch_scaled = (X_batch - means) / stds
sess.run(training_op, feed_dict={X: X_batch_scaled, y: y_batch})
if epoch % 5 == 0:
acc_train = accuracy.eval(feed_dict={X: X_batch_scaled, y: y_batch})
X_val_scaled = (mnist.validation.images - means) / stds
acc_test = accuracy.eval(feed_dict={X: X_val_scaled, y: mnist.validation.labels})
print(epoch, "Batch accuracy:", acc_train, "Validation accuracy:", acc_test)
save_path = saver.save(sess, "./my_model_final_selu.ckpt")
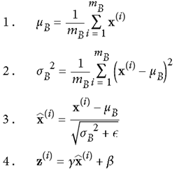
3、Batch Normalization
在2015年,有研究者提出,既然使用mini-batch进行操作,对每一批数据也可采用,在调用激活函数之前,先做一下normalization,使得输出数据有一个较好的形状,初始时,超参数scaling(γ)和shifting(β)进行适度缩放平移后传递给activation函数。步骤如下:

现今batch normalization已经被TensorFlow实现成一个单独的层,直接调用
测试时,由于没有mini-batch,故训练时直接使用训练时的mean和standard deviation(),实现代码如下
import tensorflow as tf
n_inputs = 28 * 28
n_hidden1 = 300
n_hidden2 = 100
n_outputs = 10
batch_norm_momentum = 0.9
X = tf.placeholder(tf.float32, shape=(None, n_inputs), name="X")
y = tf.placeholder(tf.int64, shape=(None), name="y")
training = tf.placeholder_with_default(False, shape=(), name='training')
with tf.name_scope("dnn"):
he_init = tf.contrib.layers.variance_scaling_initializer()
#相当于单独一层
my_batch_norm_layer = partial(
tf.layers.batch_normalization,
training=training,
momentum=batch_norm_momentum)
my_dense_layer = partial(
tf.layers.dense,
kernel_initializer=he_init)
hidden1 = my_dense_layer(X, n_hidden1, name="hidden1")
bn1 = tf.nn.elu(my_batch_norm_layer(hidden1))# 激活函数使用ELU
hidden2 = my_dense_layer(bn1, n_hidden2, name="hidden2")
bn2 = tf.nn.elu(my_batch_norm_layer(hidden2))
logits_before_bn = my_dense_layer(bn2, n_outputs, name="outputs")
logits = my_batch_norm_layer(logits_before_bn)# 输出层也做一个batch normalization
with tf.name_scope("loss"):
xentropy = tf.nn.sparse_softmax_cross_entropy_with_logits(labels=y, logits=logits)
loss = tf.reduce_mean(xentropy, name="loss")
with tf.name_scope("train"):
optimizer = tf.train.GradientDescentOptimizer(learning_rate)
training_op = optimizer.minimize(loss)
with tf.name_scope("eval"):
correct = tf.nn.in_top_k(logits, y, 1)
accuracy = tf.reduce_mean(tf.cast(correct, tf.float32))
init = tf.global_variables_initializer()
saver = tf.train.Saver()
n_epochs = 20
batch_size = 200
#需要显示调用训练时得出的方差均值,需要额外调用这些算子
extra_update_ops = tf.get_collection(tf.GraphKeys.UPDATE_OPS)
#在training和testing时不一样
with tf.Session() as sess:
init.run()
for epoch in range(n_epochs):
for iteration in range(mnist.train.num_examples // batch_size):
X_batch, y_batch = mnist.train.next_batch(batch_size)
sess.run([training_op, extra_update_ops],
feed_dict={training: True, X: X_batch, y: y_batch})
accuracy_val = accuracy.eval(feed_dict={X: mnist.test.images,
y: mnist.test.labels})
print(epoch, "Test accuracy:", accuracy_val)
save_path = saver.save(sess, "./my_model_final.ckpt")
4、Gradient Clipp
处理gradient之后往后传,一定程度上解决梯度爆炸问题。(但由于有了batch normalization,此方法用的不多)
threshold = 1.0
optimizer = tf.train.GradientDescentOptimizer(learning_rate)
grads_and_vars = optimizer.compute_gradients(loss)
capped_gvs = [(tf.clip_by_value(grad, -threshold, threshold), var)
for grad, var in grads_and_vars]
training_op = optimizer.apply_gradients(capped_gvs)
5、重用之前训练过的层
(Reusing Pretrained Layers)
对之前训练的模型稍加修改,节省时间,在深度模型训练(由于有很多层)中经常使用。
一般相似问题,分类数等和问题紧密相关的output层与最后一个直接与output相关的隐层不可以直接用,仍需自己训练。
如下图所示,在已训练出一个复杂net后,迁移到相对简单的net时,hidden1和2固定不动,hidden3稍作变化,hidden4和output自己训练。。这在没有自己GPU情况下是非常节省时间的做法。

# 只选取需要的操作
X = tf.get_default_graph().get_tensor_by_name("X:0")
y = tf.get_default_graph().get_tensor_by_name("y:0")
accuracy = tf.get_default_graph().get_tensor_by_name("eval/accuracy:0")
training_op = tf.get_default_graph().get_operation_by_name("GradientDescent")
# 如果你是原模型的作者,可以赋给模型一个清楚的名字保存下来
for op in (X, y, accuracy, training_op):
tf.add_to_collection("my_important_ops", op)
# 如果你要使用这个模型
X, y, accuracy, training_op = tf.get_collection("my_important_ops")
# 训练时
with tf.Session() as sess:
saver.restore(sess, "./my_model_final.ckpt")
for epoch in range(n_epochs):
for iteration in range(mnist.train.num_examples // batch_size):
X_batch, y_batch = mnist.train.next_batch(batch_size)
sess.run(training_op, feed_dict={X: X_batch, y: y_batch})
accuracy_val = accuracy.eval(feed_dict={X: mnist.test.images,
y: mnist.test.labels})
print(epoch, "Test accuracy:", accuracy_val)
save_path = saver.save(sess, "./my_new_model_final.ckpt")
a. Freezing the Lower Layers
训练时固定底层参数,达到Freezing the Lower Layers的目的
# 以MINIST为例
n_inputs = 28 * 28 # MNIST
n_hidden1 = 300 # reused
n_hidden2 = 50 # reused
n_hidden3 = 50 # reused
n_hidden4 = 20 # new!
n_outputs = 10 # new!
X = tf.placeholder(tf.float32, shape=(None, n_inputs), name="X")
y = tf.placeholder(tf.int64, shape=(None), name="y")
with tf.name_scope("dnn"):
hidden1 = tf.layers.dense(X, n_hidden1, activation=tf.nn.relu,
name="hidden1") # reused frozen
hidden2 = tf.layers.dense(hidden1, n_hidden2, activation=tf.nn.relu,
name="hidden2") # reused frozen
hidden2_stop = tf.stop_gradient(hidden2)
hidden3 = tf.layers.dense(hidden2_stop, n_hidden3, activation=tf.nn.relu,
name="hidden3") # reused, not frozen
hidden4 = tf.layers.dense(hidden3, n_hidden4, activation=tf.nn.relu,
name="hidden4") # new!
logits = tf.layers.dense(hidden4, n_outputs, name="outputs") # new!
with tf.name_scope("loss"):
xentropy = tf.nn.sparse_softmax_cross_entropy_with_logits(labels=y, logits=logits)
loss = tf.reduce_mean(xentropy, name="loss")
with tf.name_scope("eval"):
correct = tf.nn.in_top_k(logits, y, 1)
accuracy = tf.reduce_mean(tf.cast(correct, tf.float32), name="accuracy")
with tf.name_scope("train"):
optimizer = tf.train.GradientDescentOptimizer(learning_rate)
training_op = optimizer.minimize(loss)
reuse_vars = tf.get_collection(tf.GraphKeys.GLOBAL_VARIABLES,
scope="hidden[123]") # regular expression
reuse_vars_dict = dict([(var.op.name, var) for var in reuse_vars])
restore_saver = tf.train.Saver(reuse_vars_dict) # to restore layers 1-3
init = tf.global_variables_initializer()
saver = tf.train.Saver()
with tf.Session() as sess:
init.run()
restore_saver.restore(sess, "./my_model_final.ckpt")
for epoch in range(n_epochs):
for iteration in range(mnist.train.num_examples // batch_size):
X_batch, y_batch = mnist.train.next_batch(batch_size)
sess.run(training_op, feed_dict={X: X_batch, y: y_batch})
accuracy_val = accuracy.eval(feed_dict={X: mnist.test.images,
y: mnist.test.labels})
print(epoch, "Test accuracy:", accuracy_val)
save_path = saver.save(sess, "./my_new_model_final.ckpt")
b. Catching the Frozen Layers
训练时直接从lock层之后的层开始训练,Catching the Frozen Layers
# 以MINIST为例
n_inputs = 28 * 28 # MNIST
n_hidden1 = 300 # reused
n_hidden2 = 50 # reused
n_hidden3 = 50 # reused
n_hidden4 = 20 # new!
n_outputs = 10 # new!
X = tf.placeholder(tf.float32, shape=(None, n_inputs), name="X")
y = tf.placeholder(tf.int64, shape=(None), name="y")
with tf.name_scope("dnn"):
hidden1 = tf.layers.dense(X, n_hidden1, activation=tf.nn.relu,
name="hidden1") # reused frozen
hidden2 = tf.layers.dense(hidden1, n_hidden2, activation=tf.nn.relu,
name="hidden2") # reused frozen & cached
hidden2_stop = tf.stop_gradient(hidden2)
hidden3 = tf.layers.dense(hidden2_stop, n_hidden3, activation=tf.nn.relu,
name="hidden3") # reused, not frozen
hidden4 = tf.layers.dense(hidden3, n_hidden4, activation=tf.nn.relu,
name="hidden4") # new!
logits = tf.layers.dense(hidden4, n_outputs, name="outputs") # new!
with tf.name_scope("loss"):
xentropy = tf.nn.sparse_softmax_cross_entropy_with_logits(labels=y, logits=logits)
loss = tf.reduce_mean(xentropy, name="loss")
with tf.name_scope("eval"):
correct = tf.nn.in_top_k(logits, y, 1)
accuracy = tf.reduce_mean(tf.cast(correct, tf.float32), name="accuracy")
with tf.name_scope("train"):
optimizer = tf.train.GradientDescentOptimizer(learning_rate)
training_op = optimizer.minimize(loss)
reuse_vars = tf.get_collection(tf.GraphKeys.GLOBAL_VARIABLES,
scope="hidden[123]") # regular expression
reuse_vars_dict = dict([(var.op.name, var) for var in reuse_vars])
restore_saver = tf.train.Saver(reuse_vars_dict) # to restore layers 1-3
init = tf.global_variables_initializer()
saver = tf.train.Saver()
import numpy as np
n_batches = mnist.train.num_examples // batch_size
with tf.Session() as sess:
init.run()
restore_saver.restore(sess, "./my_model_final.ckpt")
h2_cache = sess.run(hidden2, feed_dict={X: mnist.train.images})
h2_cache_test = sess.run(hidden2, feed_dict={X: mnist.test.images}) # not shown in the book
for epoch in range(n_epochs):
shuffled_idx = np.random.permutation(mnist.train.num_examples)
hidden2_batches = np.array_split(h2_cache[shuffled_idx], n_batches)
y_batches = np.array_split(mnist.train.labels[shuffled_idx], n_batches)
for hidden2_batch, y_batch in zip(hidden2_batches, y_batches):
sess.run(training_op, feed_dict={hidden2:hidden2_batch, y:y_batch})
accuracy_val = accuracy.eval(feed_dict={hidden2: h2_cache_test, # not shown
y: mnist.test.labels}) # not shown
print(epoch, "Test accuracy:", accuracy_val) # not shown
save_path = saver.save(sess, "./my_new_model_final.ckpt")
6、Unsupervised Pretraining
该方法的提出,让人们对深度学习网络的训练有了一个新的认识,可以利用不那么昂贵的未标注数据,训练数据时没有标注的数据先做一个Pretraining训练出一个差不多的网络,再使用带label的数据做正式的训练进行反向传递,增进深度模型可用性

也可以在相似模型中做pretraining
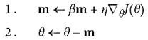
7、Faster Optimizers
在传统的SGD上提出改进
有Momentum optimization(最早提出,利用惯性冲量),Nesterov Accelerated Gradient,AdaGrad(adaptive gradient每层下降不一样),RMSProp,Adam optimization(结合adagrad和momentum,用的最多,是缺省的optimizer)
a. momentum optimization
记住之前算出的gradient方向,作为惯性加到当前梯度上。相当于下山时,SGD是静止的之判断当前最陡的是哪里,而momentum相当于在跑的过程中不断修正方向,显然更加有效。

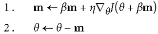
b. Nesterov Accelerated Gradient
只计算当前这点的梯度,超前一步,再往前跑一点计算会更准一些。


c. AdaGrad
各个维度计算梯度作为分母,加到当前梯度上,不同维度梯度下降不同。如下图所示,横轴比纵轴平缓很多,传统gradient仅仅单纯沿法线方向移动,而AdaGrad平缓的θ1走的慢点,陡的θ2走的快点,效果较好。
但也有一定缺陷,s不断积累,分母越来越大,可能导致最后走不动。
d. RMSProp(Adadelta)
只加一部分,加一个衰减系数只选取相关的最近几步相关系数
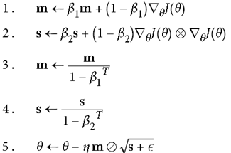
e. Adam Optimization
目前用的最多效果最好的方法,结合AdaGrad和Momentum的优点

# TensorFlow中调用方法
optimizer = tf.train.MomentumOptimizer(learning_rate=learning_rate,momentum=0.9)
optimizer = tf.train.MomentumOptimizer(learning_rate=learning_rate,momentum=0.9, use_nesterov=True)
optimizer = tf.train.RMSPropOptimizer(learning_rate=learning_rate,momentum=0.9, decay=0.9, epsilon=1e-10)
# 可以看出AdamOptimizer最省心了
optimizer = tf.train.AdamOptimizer(learning_rate=learning_rate)
8、learning rate scheduling
learning rate的设置也很重要,如下图所示,太大不会收敛到全局最优,太小收敛效果最差。最理想情况是都一定情况缩小learning rate,先大后小

a. Exponential Scheduling
指数级下降学习率
initial_learning_rate = 0.1
decay_steps = 10000
decay_rate = 1/10
global_step = tf.Variable(0, trainable=False)
learning_rate = tf.train.exponential_decay(initial_learning_rate, global_step, decay_steps, decay_rate)
optimizer = tf.train.MomentumOptimizer(learning_rate, momentum=0.9)
training_op = optimizer.minimize(loss, global_step=global_step)
9、Avoiding Overfitting Through Regularization
解决深度模型过拟合问题
a. Early Stopping
训练集上错误率开始上升时停止
b. l1和l2正则化
# construct the neural network
base_loss = tf.reduce_mean(xentropy, name="avg_xentropy")
reg_losses = tf.reduce_sum(tf.abs(weights1)) + tf.reduce_sum(tf.abs(weights2))
loss = tf.add(base_loss, scale * reg_losses, name="loss")
with arg_scope( [fully_connected], weights_regularizer=tf.contrib.layers.l1_regularizer(scale=0.01)):
hidden1 = fully_connected(X, n_hidden1, scope="hidden1")
hidden2 = fully_connected(hidden1, n_hidden2, scope="hidden2")
logits = fully_connected(hidden2, n_outputs, activation_fn=None,scope="out")
reg_losses = tf.get_collection(tf.GraphKeys.REGULARIZATION_LOSSES)
loss = tf.add_n([base_loss] + reg_losses, name="loss")
c. dropout
一种新的正则化方法,随机生成一个概率,大于某个阈值就扔掉,随机扔掉一些神经元节点,结果表明dropout很能解决过拟合问题。可强迫现有神经元不会集中太多特征,降低网络复杂度,鲁棒性增强。
加入dropout后,training和test的准确率会很接近,一定程度解决overfit问题
training = tf.placeholder_with_default(False, shape=(), name='training')
dropout_rate = 0.5 # == 1 - keep_prob
X_drop = tf.layers.dropout(X, dropout_rate, training=training)
with tf.name_scope("dnn"):
hidden1 = tf.layers.dense(X_drop, n_hidden1, activation=tf.nn.relu,
name="hidden1")
hidden1_drop = tf.layers.dropout(hidden1, dropout_rate, training=training)
hidden2 = tf.layers.dense(hidden1_drop, n_hidden2, activation=tf.nn.relu,
name="hidden2")
hidden2_drop = tf.layers.dropout(hidden2, dropout_rate, training=training)
logits = tf.layers.dense(hidden2_drop, n_outputs, name="outputs")
d. Max-Norm Regularization
可以把超出threshold的权重截取掉,一定程度上让网络更加稳定
def max_norm_regularizer(threshold, axes=1, name="max_norm",
collection="max_norm"):
def max_norm(weights):
clipped = tf.clip_by_norm(weights, clip_norm=threshold, axes=axes)
clip_weights = tf.assign(weights, clipped, name=name)
tf.add_to_collection(collection, clip_weights)
return None # there is no regularization loss term
return max_norm
max_norm_reg = max_norm_regularizer(threshold=1.0)
hidden1 = fully_connected(X, n_hidden1, scope="hidden1",
weights_regularizer=max_norm_reg)
e. Date Augmentation
深度学习网络是一个数据饥渴模型,需要很多的数据。扩大数据集,例如图片左右镜像翻转,随机截取,倾斜随机角度,变换敏感度,改变色调等方法,扩大数据量,减少overfit可能性
10、default DNN configuration

其大力
0
文章1
关注0
粉丝这是中国人民大学的胡鹤老师课程讲解?