在内容爆炸性增长的今天,个性化推荐发挥着越来越重要的作用,如何在海量的数据中帮助用户找到感兴趣的物品,成为大数据领域极具挑战性的一项工作;另一方面,深度学习已经被证明在图像处理,计算机视觉,自然语言处理等领域都取得了不俗的效果,但在个性化推荐领域,工程应用仍然相对空白。本文是深度学习在个性化推荐实践应用的第二篇,在第一篇中,我详述了如何利用历史沉淀数据挖掘用户的隐藏特征,本文在上一篇的基础上进行延伸,详细分析如何利用LSTM,即长短时记忆网络来进行序列式的推荐。
根据用户的长期历史数据来挖掘隐特征是协同过滤常用的方法,典型的算法有基于神经网络的受限玻尔兹曼机 (RBM),基于矩阵分解的隐语义模型等。历史的数据反映了用户的长期兴趣,但在很多推荐场景下,我们发现推荐更多的是短时间内的一连串点击行为,例如在音乐的听歌场景中,用户的听歌时间往往比较分散,有可能一个月,甚至更长的时间间隔才会使用一次,但每一次使用都会产生一连串的点击序列,并且在诸如音乐等推荐领域中,受环境心情的影响因素很大,因此,在这种推荐场景下,基于用户的短期会话行为(session-based) 能够更好的捕获用户当前的情感变化。
另一方面,通过用户的反馈,我们也不难发现,用户的序列点击行为并不是孤立的,当前的点击行为往往是受到之前的结果影响,同理,当前的反馈也能够影响到今后的决策,长期历史数据的隐特征挖掘无法满足这些需求。RNN是解决序列性相关问题的常用网络模型,通过展开操作,可以从理论上把网络模型扩展为无限维,也就是无限的序列空间,如下图所示:

与CNN的参数共享原理一样,RNN网络在每一时刻也会共享相同的网络权重参数,这时因为网络在时间序列的不同时刻执行的是相同任务。在实际建模中,每一阶段的网络结构由输入层,embedding层,1到多个LSTM层(可以选择dropout)和层次softmax输出层构成,如下图所示,每一部分的设计思路将在后面详细讲述。

从理论的角度来分析,传统的RNN采用BPTT (Backpropagation Through Time)来进行梯度求导,对V的求导较为简单直接,但对W和U的求导会导致梯度消失(Vanishing Gradients)问题,梯度消失的直接后果是无法获取过去的长时间依赖信息。

从个性化推荐的角度来看,传统的RNN还有另外一个缺点。因为RNN在每一时刻对过去的记忆信息和当前的输入处理策略都是一致的,这在其他领域(如自然语言处理,语音识别等)问题不大,但并不适用于个性化推荐,一个用户的听歌点击序列,有正负向之分。正向的数据,包括诸如听歌时长较长的歌曲,收藏,下载等;负向的听歌,包括了跳过,删除等,因此,在每一时刻的训练,需要对当前的输入数据有所区分,如果当前时刻是正向的歌曲,应该能够对后面的推荐策略影响较大,相反,如果当前时刻是负向的歌曲,应该对后面的策略影响小,或者后面的推荐策略应该避免类似的歌曲出现。
LSTM (长短时记忆网络)是对传统RNN的改进,通过引入cell state来保留过去的记忆信息,避免BPTT导致的梯度消失问题,同时,针对前面提到的个性化推荐的独有特点,我们对长短时记忆网络也进行了修改,下面来详细分析如何在个性化推荐中设计合理的门逻辑:
Forget gate (忘记门):这一步是首先决定要从前面的“记忆”中丢弃哪些信息或丢弃多少信息,比如,之前可能对某一位歌手或者某一个流派的歌曲特别感兴趣,这种正向操作的记忆需要得到保留,并且能够影响今后的决策。“门”开关通过sigmoid函数来实现,当函数值越接近于1时,表示当前时刻保留的记忆信息就越多,并把这些记忆带到下一阶段;当函数值接近于0时,表示当前时刻丢弃的记忆就越多。

Input gate(输入门): 这一步由两部分构成,第一部分是决定当前时刻的歌曲有多少信息会被加入到新的记忆中,如果是正向的歌曲,传递的信息就会越多,相反,对于负向歌曲,传递的信息就会越少。
第二部分是当前阶段产生的真实数据信息,它是通过tanh函数把前面的记忆与当前的输入相结合而得到。

经过前面两个门的设计,我们可以对cell state进行更新,把旧的记忆状态通过与forget gate相结合,丢弃不需要的信息,把当前的输入信息与input gate相结合,加入新的输入数据信息,如下图所示:

output gate (输出门):这一步是把前面的记忆更新输出,通过输出门开关来控制记忆流向下一步的大小,确定哪些信息适合向后传播。

到此为止,序列中每一阶段的门逻辑设计也完成了,最终的LSTM层设计如下图所示:

小技巧:在代码实现的时候,我们应该能够发现上面提到的三个门运算和cell state的计算除了激活函数稍有不同外,它们具有下面的相同线性操作公式:

进一步,可以把系数矩阵合并进行并行化操作:

经过这样的改造后,原来需要单独执行四步的操作,现在只需要一次矩阵运算就能完成,这一技巧使得训练速度提升非常明显。
普通的递归网络(或者是其变种,LSTM,GRU等)每一次训练会因为训练数据间的序列长度不相等,需要单独训练,对于上亿条的流水训练数据来说,这种做法显然是不可行的,为此我们需要对输入数据做时序的补齐,具体来说就是把batch_size的训练样本集中起来,取点击最长的序列长度作为矩阵的行数,其余样本数据用0来补齐。
下面通过一个具体例子来形象的描述这个过程,下图是从腾讯QQ音乐抽取的部分听歌训练样本,为了便于理解,这里只选择batch_size的大小为5,最长的点击序列是8。

由训练数据,我们得到对应的掩码(mask)为:

掩码的设计为我们解决了不同用户听歌序列不相同的问题,让多个用户的听歌数据同时进行矩阵运算,但却产生了另外一个问题,在每一次LSTM层训练的时候,状态迁移输出和隐藏层结点输出计算是全局考虑的,对于当前用0来padding的训练样本,理论上是不应该进行更新,如何解决这一个问题呢?
利用动态规划的思想可以优雅的解决这个问题,当我们计算出当前阶段的cell state和隐藏层结点输出后,把当前的状态输出与前一个状态输出作线性的组合,具体来说,假如当前正在更新第T次点击状态。

对状态迁移的更新,当执行完下式:

还需要在最后额外执行下面的组合操作:

右式由两部分构成,加号左边,如果mask的值为1,更新当前状态,加号右边,如果mask为0,那么状态退回到最后一个非0态。如下图所示:当运行到T7时,对于sample1和sample3都是直接更新新数据,对于sample2,sample4和sample5则执行回溯。

隐藏层结点输出也采用同样的技巧,除了执行下面常规的更新外:

在最后额外执行下面的操作:

正则化是机器学习中常用来解决过拟合的技巧,在深度学习领域,神经网络的参数更多,更深,结构也更复杂,而往往训练样本相对较少,过拟合的问题会更加严重。较为常见的正则化方法包括:对单模型,比如当验证集的效果变化不明显的时候我们可以提前终止迭代,或者采用L1正则化和L2正则化等;对多模型,我们可以利用boosting来集成提升,但在深度学习中,这种方法是不现实的,因为单个模型的训练已经非常复杂耗时,并且即使训练出多个网路模型,也难以在实际环境中做到快速集成。
Dropout结合了单模型和多模型的优点,是深度学习领域解决过拟合的强有力武器,前面提到,如果不考虑时间复杂度的前提下,可以通过训练多个不同的网络模型来集成提升效果,网路结构之间差别越大,提升效果也会越明显,可以假设一个神经网络中有n个不同神经元,那么相当于有2n个不同的网络结构,如下图所示:

Dropout的思想是每一迭代的过程中,我们会随机让网络某些节点 (神经元) 不参与训练,同时把与这些暂时丢弃的神经元(如下图的黑色结点)相关的所有边全部去掉,相应的权重不会在这一次的迭代中更新,每一次迭代训练我们都重复这个操作。需要注意的是这些被丢弃的的神经元只是暂时不做更新,下一次还是会重新参与随机化的dropout。

Hinton给出了dropout随机化选择的概率,对于隐藏层,一般取P=0.5,在大部分网络模型中,能达到或接近最优的效果,而对于输入层,被选中的概率要比被丢弃的概率要大,一般被选中的概率大约在P=0.8左右。在具体实现的时候,我并没有对输入层做dropout,在隐藏层取概率为0.5来进行正则化。
从理论角度来说,这个做法的巧妙之处在于,每一次的训练,网络都会丢弃部分的神经元,也就是相当于我们每一次迭代都在训练不同的网络结构,这样同一个模型多次dropout迭代训练便达到了多模型融合的效果。
Hinton在其论文中还对dropout给出了一种很有意思的生物学的解析,也就是为什么有性繁殖会比无性繁殖更能适应环境的变化,无性繁殖从母体中直接产生下一代,能保持母体的优良特性,不容易发生变异,但也因此造成了适应新环境能力差的缺点,而为了避免环境改变时物种可能面临的灭亡(相当于过拟合),有性繁殖除了会分别吸收父体和母体的基因之外,还会为了适应新环境而进行一定的基因变异。
最后的一个难点问题是推荐结果的输出。对于常规的输出层,一般是采用softmax函数建模,当输出数据很少,比如只有几千个候选数据,那么softmax的计算是很方便简单的,但对于上百万甚至上千万的推荐数据,这种方法就会成为训练效率的一个瓶颈。有什么好的方法可以解决这个问题呢?Hierarchical softmax是深度学习中解决高维度输出的一个技巧,在NLP领域,经典的word2vec就采用Hierarchical softmax来对输出层进行建模,我们也借助同样的思想,把Hierarchical softmax应用于推荐数据的输出选择。
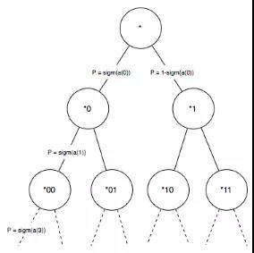
首先来简要的回顾Hierarchical softmax的原理,如果输出层是常规的softmax输出,假设有V个候选输出数据,那么,每一时刻的输出都需要计算P(vi|ht),时间复杂度为O(V), Hierarchical softmax的思想是构建一颗哈夫曼树,我在应用中使用歌曲的热度作为初始权值来构建哈夫曼树,哈夫曼树构建完成后,可以得到每一首歌曲对应的哈夫曼编码。从而把softmax输出层转化为Hierarchical softmax,即多层次输出,如下图所示:

对于任意的输出数据,哈夫曼树都必然存在一条从根节点到叶子结点(歌曲)的路径,并且该路径是唯一的,从根结点到叶子结点会产生L-1个分支,每一个分支都可以看成是一个二元分类,每一个分类会产生一个概率,将这些概率相乘就是我们最后的预测值。

通过层次softmax求取概率,时间复杂度从原来的O(V)下降为O(log(V))。
关于推荐输出,除了显式求解每一首歌的输出概率之外,我还尝试了采用流派来进行层次softmax建模,事实上,在线上环境中,很多时候不需要精确到具体的歌曲,在输出层,我们可以按流派层次来建模,第一层是一级流派标签,选择了一级标签之后,进入二级标签的选择,三级标签的选择等等,一般来说标签的数量相对歌曲总量来说要少很多,但这种方法也要求标签和曲库的体系建设做到比较完善。

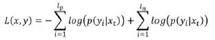
模型训练目标是最小化下式的损失函数,目标函数由两部分构成,分别对应于正向数据集和负向数据集。

在测试中,我们收集了QQ音乐最近的电台听歌记录,共约8千万条听歌序列,并对数据做了必要的预处理操作,主要包括下面两点:
去掉了点击序列小于5首,大于50首的听歌数据,去掉序列过少是为了防止误点击,去掉过长的听歌序列是为了防止用户忘记关掉播放器。
对于全部是5秒内跳过的听歌序列也同样去掉,这样可以有效防止不正当的负操作过多对模型训练产生的影响。
代码采用Theano深度学习框架来实现,Theano也是当前对RNN支持最好的深度学习框架之一,它的scan机制使得RNN (包括LSTM, GRU) 的实现代码非常优雅。下图是核心递归代码生成的图结构:

我们分别采用单层LSTM和两层LSTM来训练,通过测试对比,两层的LSTM效果要比单层的提高5%,同时我们也采用dropout来防止过拟合,dropout的效果还是比较明显,在lr和momentum相同的情况下,取p=0.5, 效果进一步提升了3%。
除了前面提到的一些技巧外,还有很多细节能帮助我们提高网络的训练速度,下面是我用到的其中一些技巧:
【1】Theano的cuda backend当前只支持float32,需要将floatX设置为float32,并且将全部的shared变量设置为float32。
【2】权重参数尽量放在non_sequences中,作为参数传递给递归函数,这样防止每一次迭代的时候都需要把参数反复重新导入计算图中。
【3】为了避免数据在显存和内存之间频繁的交互,我大量采用了sandbox.gpu_from_host来存储结果数据,但也对可移植性造成一定的影响。
【4】最后,theano的调试是不方便的,灵活使用eval和compute_test_value来调试theano。
对于新数据的预测,如下图所示,给出初始的歌曲X0, 模型就能连续生成输出序列,但有一点需要注意的是,与数据训练不同,新数据的生成过程中,当前阶段的输出数据也是下一阶段的输入数据。

本文是深度学习在智能推荐的第二篇实践文章,详细解析了如何使用LSTM对用户的点击进行序列建模,具体包括了如何设计lstm的门逻辑,以更好适应个性化推荐场景,dropout正则化,序列的规整,以及层次softmax解决高维度的推荐结果输出。 随着个性化推荐的不断发展,推荐也早已不局限于浅层的用户和物品挖掘,但对用户行为的挖掘是一个相对困难的问题,我们也将会继续探索深度学习在个性化推荐领域的研究与落地应用。