作者:水奈樾 人工智能爱好者
博客专栏:http://www.cnblogs.com/rucwxb/
神经网络是从生物领域自然的鬼斧神工中学习智慧的一种应用。人工神经网络(ANN)的发展经历的了几次高潮低谷,如今,随着数据爆发、硬件计算能力暴增、深度学习算法的优化,我们迎来了又一次的ANN雄起时代,以深度学习为首的人工神经网络,又一次走入人们的视野。
不再处理离散情况,而是连续的数值,学习时权值在变化,从而记忆存储学到的知识

增加偏值,输出层哪个节点权重大,输出哪一个。

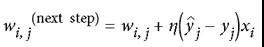
采用Hebb准则,下一个权重调整方法参考当前权重和训练效果

#一个感知机的例子
import numpy as np
from sklearn.datasets import load_iris
from sklearn.linear_model import Perceptron
iris = load_iris()
X = iris.data[:, (2, 3)] # petal length, petal width
y = (iris.target == 0).astype(np.int) # Iris Setosa?
per_clf = Perceptron(random_state=42)
per_clf.fit(X, y)
y_pred = per_clf.predict([[2, 0.5]]
之后有人提出,perceptron无法处理异或问题,但是,使用多层感知机(MLP)可以处理这个问题
def heaviside(z):
return (z >= 0).astype(z.dtype)
def sigmoid(z):
return 1/(1+np.exp(-z))
#做了多层activation,手工配置权重
def mlp_xor(x1, x2, activation=heaviside):
return activation(-activation(x1 + x2 - 1.5) + activation(x1 + x2 - 0.5) - 0.5)
如图所示,两层MLP,包含输入层,隐层,输出层。所谓的深度神经网络,就是隐层数量多一些。


以下是几个激活函数的例子,其微分如右图所示


首先正向做一个计算,根据当前输出做一个error计算,作为指导信号反向调整前一层输出权重使其落入一个合理区间,反复这样调整到第一层,每轮调整都有一个学习率,调整结束后,网络越来越合理。
step函数换成逻辑回归函数σ(z) = 1 / (1 + exp(–z)),无论x落在哪个区域,最后都有一个非0的梯度可以使用,落在(0,1)区间。双曲正切函数The hyperbolic tangent function tanh (z) = 2σ(2z) – 1,在(-1,1)的区间。The ReLU function ReLU (z) = max (0, z),层次很深时不会越传递越小。多分类时,使用softmax(logistics激活函数)最为常见。使用MLP多分类输出层为softmax,隐层倾向于使用ReLU,因为向前传递时不会有数值越来越小得不到训练的情况产生。
import tensorflow as tf
# construction phase
n_inputs = 28*28 # MNIST
# 隐藏层节点数目
n_hidden1 = 300
n_hidden2 = 100
n_outputs = 10
X = tf.placeholder(tf.float32, shape=(None, n_inputs), name="X")
y = tf.placeholder(tf.int64, shape=(None), name="y")
def neuron_layer(X, n_neurons, name, activation=None):
with tf.name_scope(name):
n_inputs = int(X.get_shape()[1])
# 标准差初始设定,研究证明设为以下结果训练更快
stddev = 2 / np.sqrt(n_inputs)
# 使用截断的正态分布,过滤掉极端的数据,做了一个初始权重矩阵,是input和neurons的全连接矩阵
init = tf.truncated_normal((n_inputs, n_neurons), stddev=stddev)
W = tf.Variable(init, name="weights")
# biases项初始化为0
b = tf.Variable(tf.zeros([n_neurons]), name="biases")
# 该层输出
z = tf.matmul(X, W) + b
# 根据activation选择激活函数
if activation=="relu":
return tf.nn.relu(z)
else:
return z
with tf.name_scope("dnn"):
# 算上输入层一共4层的dnn结构
hidden1 = neuron_layer(X, n_hidden1, "hidden1", activation="relu")
hidden2 = neuron_layer(hidden1, n_hidden2, "hidden2", activation="relu")
# 直接输出最后结果值
logits = neuron_layer(hidden2, n_outputs, "outputs")
# 使用TensorFlow自带函数实现,最新修改成dense函数
from tensorflow.contrib.layers import fully_connected
with tf.name_scope("dnn"):
hidden1 = fully_connected(X, n_hidden1, scope="hidden1")
hidden2 = fully_connected(hidden1, n_hidden2, scope="hidden2")
logits = fully_connected(hidden2, n_outputs, scope="outputs", activation_fn=None)
# 使用logits(网络输出)计算交叉熵,取均值为误差
with tf.name_scope("loss"):
xentropy = tf.nn.sparse_softmax_cross_entropy_with_logits(labels=y, logits=logits)
loss = tf.reduce_mean(xentropy, name="loss")
learning_rate = 0.01
with tf.name_scope("train"):
optimizer = tf.train.GradientDescentOptimizer(learning_rate)
training_op = optimizer.minimize(loss)
with tf.name_scope("eval"):
correct = tf.nn.in_top_k(logits, y, 1)
accuracy = tf.reduce_mean(tf.cast(correct, tf.float32))
init = tf.global_variables_initializer()
saver = tf.train.Saver()
# Execution Phase
from tensorflow.examples.tutorials.mnist import input_data
mnist = input_data.read_data_sets("/tmp/data/")
# 外层大循环跑400次,每个循环中小循环数据量50
n_epochs = 400
batch_size = 50
with tf.Session() as sess:
init.run()
for epoch in range(n_epochs):
for iteration in range(mnist.train.num_examples // batch_size):
X_batch, y_batch = mnist.train.next_batch(batch_size)
sess.run(training_op, feed_dict={X: X_batch, y: y_batch})
acc_train = accuracy.eval(feed_dict={X: X_batch, y: y_batch})
acc_test = accuracy.eval(feed_dict={X: mnist.test.images,y: mnist.test.labels})
print(epoch, "Train accuracy:", acc_train, "Test accuracy:", acc_test)
# 下次再跑模型时不用再次训练了
save_path = saver.save(sess, "./my_model_final.ckpt")
# 下次调用
with tf.Session() as sess:
saver.restore(sess, "./my_model_final.ckpt") # or better, use save_path
X_new_scaled = mnist.test.images[:20]
Z = logits.eval(feed_dict={X: X_new_scaled})
y_pred = np.argmax(Z, axis=1)
相关推荐:
[ 文章 ] 机器学习——彻底搞懂CNN