目录
- 什么是期货?
- 中金所和金融期货
- 交易指令
1. 什么是期货?
期货,一般指期货合约,就是指由期货交易所统一制定的、规定在将来某一特定的时间和地点交割一定数量标的物的标准化合约。这个标的物,又叫基础资产,对期货合约所对应的现货,可以是某种商品,如铜或原油,也可以是某个金融工具,如外汇、债券,还可以是某个金融指标,如三个月同业拆借利率或股票指数。期货合约的买方,如果将合约持有到期,那么他有义务买入期货合约对应的标的物;而期货合约的卖方,如果将合约持有到期,那么他有义务卖出期货合约对应的标的物(有些期货合约在到期时不是进行实物交割而是结算差价,例如股指期货到期就是按照现货指数的某个平均来对在手的期货合约进行最后结算)。当然期货合约的交易者还可以选择在合约到期前进行反向买卖来冲销这种义务。
期货可以大致分为两大类:
- 商品期货: 主要品种可以分为农产品期货、金属期货(包括基础金属与贵金属期货)、能源期货三大类。
- 金融期货: 主要品种可以分为外汇期货、利率期货(包括中长期债券期货和短期利率期货)和股指期货。

金融期货
- 股指期货,就是以股票指数为标的物的期货。双方交易的是一定期限后的股票指数价格水平,通过现金结算差价来进行交割。
- 利率期货,是指以债券类证券为标的物的期货合约, 它可以回避银行利率波动所引起的证券价格变动的风险。利率期货的种类繁多,分类方法也有多种。通常,按照合约标的的期限, 利率期货可分为短期利率期货和长期利率期货两大类。
- 外汇期货,是指以汇率为标的物的期货合约,用来回避汇率风险。它是金融期货中最早出现的品种。目前,外汇期货交易的主要品种有:美元、英镑、德国马克、日元、瑞士法郎、加拿大元、澳大利亚元、法国法郎、荷兰盾等。从世界范围看,外汇期货的主要市场在美国。
2. 中金所和金融期货
- 中金所
- 沪深300指数介绍
- 沪深300指数期货合约表
- 5年期国债期货介绍
- 5年期国债期货合约表
1). 中金所
中国金融期货交易所简称中金所,于2006年9月8日在上海期货大厦内挂牌,成为继上海期货交易所、大连商品交易所、郑州商品交易所之后的中国内地的第四家期货交易所,也是中国内地第一家金融衍生品交易所。
中国金融期货交易所的组织形式采用公司制,这也使中国金融期货交易所成为中国内地首家采用这一组织形式的交易所。中国金融期货交易所由上海期货交易所、郑州商品交易所、大连商品交易所、上海证券交易所和深圳证券交易所共同发起设立。5家股东分别出资1亿元人民币,各占20%股份。2010年4月16日,中国内地第一个股指期货合约沪深300指数期货合约上市交易。
2). 沪深300指数介绍
沪深300指数是由上海和深圳证券市场中选取300只A股作为样本编制而成的成份股指数。 沪深300指数样本覆盖了沪深市场六成左右的市值,具有良好的市场代表性。沪深300指数是沪深证券交易所第一次联合发布的反映A股市场整体走势的指数。它的推出,丰富了市场现有的指数体系,增加了一项用于观察市场走势的指标,有利于投资者全面把握市场运行状况,也进一步为指数投资产品的创新和发展提供了基础条件。
沪深300指数行情(2014-01-27)
名称 昨日收盘 最新价 成交金额 开盘价 最高价 最低价 涨跌幅(%)
HS300 2245.6 2215.9 63503992484 2233.0 2233.0 2211.9 -1.33
关于股指的介绍,请参考文章股指是什么?, 文件下载:沪深300指数编制细则
3). 沪深300指数期货合约表
- 合约标的: 沪深300指数
- 合约乘数: 每点300元
- 报价单位: 指数点
- 最小变动价位: 0.2点
- 合约月份: 当月、下月及随后两个季月
- 交易时间: 上午:9:15-11:30,下午:13:00-15:15
- 最后交易日交易时间: 上午:9:15-11:30,下午:13:00-15:00
- 每日价格最大波动限制: 上一个交易日结算价的±10%
- 最低交易保证金: 合约价值的12%
- 最后交易日: 合约到期月份的第三个周五,遇国家法定假日顺延
- 交割日期: 同最后交易日
- 交割方式: 现金交割
- 交易代码: IF
- 上市交易所: 中国金融期货交易所
4). 5年期国债期货介绍
根据《中国金融期货交易所5年期国债期货合约交割细则》的相关规定,现就5年期国债期货可交割国债范围有关事项明确如下:
- 合约上市后新发行的符合可交割国债条件的国债,交易所在该国债上市交易日(含)之前公布将其纳入可交割国债范围
- 合约交割月新发行且上市交易日在合约最后交易日(含)之前的5年期国债,纳入合约可交割国债范围。合约交割月新发行的7年期国债,其到期日距交割月首日的期限超过7年,不纳入合约可交割国债范围
- 根据财政部和托管机构关于国债转托管的相关规定,为保证国债期货交割的顺利进行,因付息导致合约交割期间暂停转托管的国债不纳入该合约可交割国债范围。
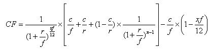
5年期国债期货转换因子和应计利息计算公式:
转换因子

- r:5年期国债期货合约票面利率3%
- x:交割月到下一付息月的月份数
- n:剩余付息次数
- c:可交割国债的票面利率
- f:可交割国债每年的付息次数
计算结果四舍五入至小数点后4位。
应计利息
应计利息的日计数基准为“实际天数/实际天数”,每100元可交割国债的应计利息计算公式如下:

计算结果四舍五入至小数点后7位。
5). 5年期国债期货合约表
- 合约标的: 面值为100万元人民币、票面利率为3%的名义中期国债
- 可交割国债: 合约到期月首日剩余期限为4-7年的记账式附息国债
- 报价方式: 百元净价报价
- 最小变动价位: 0.002元
- 合约月份: 最近的三个季月(3月、6月、9月、12月中的最近三个月循环)
- 交易时间: 09:15—11:30, 13:00—15:15
- 最后交易日交易时间: 09:15—11:30
- 每日价格最大波动限制: 上一交易日结算价的±2%
- 最低交易保证金: 合约价值的2%
- 最后交易日: 合约到期月份的第二个星期五
- 最后交割日: 最后交易日后的第三个交易日
- 交割方式: 实物交割
- 交易代码: TF
- 上市交易所: 中国金融期货交易所
3. 交易指令
交易指令又称交易订单,是指在金融产品交易过程中,投资者向交易经纪人和经济公司按何种价格采取何种方式交易一定数量标的物的订单。常见的交易指令包括:限价指令、市价指令、撤销指令、止损指令等。
- 开仓指令: 是开仓的时候选择以多头还是空头开仓。
- 价格指令: 是指示期货公司怎么样竞价开仓。
- 时限指令: 是指你的指令维持的时限。
- 平仓指令: 是结束所持的仓位的几种方式。
- 止损指令: 是为了自动止损。
- 高级指令: 通常只有较专业的股指期货投资软件才有。这种指令能设定各种各样的条件让投资更加自动化。
1). 开仓指令
在做股指期货交易时,都要选择该交易是开仓还是平仓。如果你是要开始一个新的仓位,不管多头还是空头,都得选择开仓指令。
- 买: 如果你要买沪深300指数升的话,就得用“买”这个股指期货指令配合“开仓”指令来做多头。这个股指期货交易指令告诉你的期货公司代表你入市买入一个新的仓位。
- 卖: 如果你要获利于沪深300下跌的话,就得用“卖”这个股指期货指令配合“开仓”指令来做空头。这个股指期货交易指令告诉你的期货公司代表你入市接受一个做多方合约作为其对立方来建立新仓位。
2). 价格指令
- 市价指令(Market Order): 就是不对期货公司下一定的价格要求而是让期货公司尽快以最好的市场价格完成股指期货交易。一般上如果一个股指期货合约的流动性强的话,价格竞争激烈,用市场指令能够避免最后因为价格不合适而流拍。如果一个股指期货合约的流动性低,价格竞争低的话,不建议用市场指令以免价格过高。最好用现价指令。基本上,市价指令使你在股指期货交易中成为了被动方,接受市场的任何价格。
- 限价指令(Limit Order): 就是交代期货公司以你所定的价格或者更好的价格来做成交。如果该股指期货合约价格一直没有到达你所定下的价格,该股指期货交易就会流拍。限价指令让你在股指期货交易中占据主动方,在股指期货市场上主动提出你的价格要求,也就是在股指期货市场里头主动竞价。
3). 时限指令
- 当日交易指令(Day Order): 是最常用的交易时限指令。这个指令吩咐期货公司在收盘前继续执行该指令。收盘后,该股指期货交易指令将自动消除。
- 直到取消指令(Good Till Cancelled): 吩咐期货公司不论何时继续执行该指令,直到成交为止。这个指令最大的用途是用于设定长期止损点。只要止损点没到,指令任然生效。
4). 平仓指令
- 平仓: 在结束一个股指期货仓位时,必须选择“平仓”指令,然后相关的买卖指令。
- 买: 如果你要结束一个空头仓位,你就需要选择“平仓”然后“买”,表示买回之前所卖出的股指期货合约来冲销该仓位。
- 卖: 如果你要结束一个多头仓位,你就必须选择“平仓”然后“卖”,表示卖掉之前买入的股指期货合约来冲销该仓位。
- 向后展期(Roll Forward): 是一个高级股指期货交易指令,一般期货公司交易平台没有。向前滚期就是把现有的仓位平掉,同时间开仓同样多的原月份合约。这个股指期货交易指令的好处是两个交易同时进行,避免了因为平常和开仓之间的时间差所造成的价格流失,Slippage. 学习什么是向后展期。
- 反向交易(Reverse): 是一个高级股指期货交易指令,一般期货公司交易平台没有。反向交易就是把现有的仓位平掉,同时间逆向开仓同样的股指期货合约。如果你之前是持多头仓位,利用反向交易就能瞬间把它变成空头合约。同样的,这个股指期货交易指令的好处是两个交易同时进行,避免了因为平常和开仓之间的时间差所造成的价格流失。
5). 止损指令
-
市场止损指令(Stop Market Order): 让你设定一个止损的价位,让止损交易自动化。如果你是多头,市场止损指令就会在该股指期货合约价格低于所设定的价位时,以市场指令自动平仓。如果你是空头,市场止损指令就会在该股指期货合约价格高于所定的价位时,以市场指令自动平仓。因为是以市场指令执行平仓,最后交易价格肯能以你所设定的价格有所不同。
- 限价止损指令(Stop Limit Order): 与市场止损指令一样但是它让你以现价指令模式设定最后交易价。但是如果该股指期货合约价格不能比所设定的限价优的话,该仓位将不能得到平仓,而是继续亏损。
- SAR(Stop and Reverse): 就是当该股指期货合约到达你所预定的价格时,期货公司或者交易软件自动将所持仓位平仓同时以相反方向开仓。这种指令通常用于支持点或者阻力点上。
6). 高级指令
- 追踪止损指令(Trailing Stop): 就是让股指期货交易系统自动追踪你的仓位的最高点然后当该股指期货合约价格从那个最高点拉回一定百分比时卖出。追踪止损指令不只是一种止损指令,它也是一种在出现价格回落时有效的自动套利离场的方法。
- 条件式执行指令(Contingent Orders): 是以各种客观条件来自动化股指期货交易的某些环节。条件式执行指令使得股指期货投资更加自动化,更加客观,减少投资者的交易时间以及参与。比如说,你可以用条件式执行指令来规定当沪深300到某个点位就平仓,也可以规定当股指期货合约价格到了某个价位就增仓还是减仓。
- 一方启动另一方(One Trigger Other): 是以一个指令的执行后自动下单另外一个指令。比如说,你可以下单开仓然后OTO一个止损点。当开仓指令成交后,就会自动下单止损指令。
- 一方取消另一方(One Cancel Other): 是以一个指令的执行后自动取消另外一个指令。比如说,你可以下单设置一个止损点OCO一个盈利离场点。当任何一个指令执行后就自动取消另外一个已经没有的指令。