由于工作需要,小编需要掌握一元线性回归的算法细节,而不仅仅是简单的调用,这也再一次提醒小编,高等数学、线性代数等数学知识在量化投资领域是多么的重要,大学有棵树挂了好多人,那就是高数,哈哈,好好学习吧骚年!好的,闲话不扯了,直接给出小编的学习研究心得吧。

一元线性回归公式为:

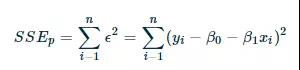
最小二乘回归将误差的平方和最小化,总的预测误差用SSEp表示,则总的误差平方和为:

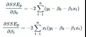
利用微积分,在以下微积分方程结果为0的时候会让总的误差平方和最小,关于b0与b1的偏微分方程为:

最后解此二元方程组,即可得到斜率b0及截距项b1,由此即可得到回归方程:

代码MQL5版

代码:https://www.mql5.com/zh/code/viewcode/249/136519/lrchannel.mq5
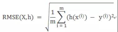
评估回归拟合程度
RMSE均方根误差是用来衡量观测值同真值之间的偏差:

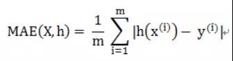
MAE平均绝对误差能更好地反映预测值误差的实际情况:

线性回归的拟合优度:

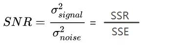
信噪比:

解释信噪比的统计学意义,首先我们应该接受一个观念:方差即不确定性,不确定性即信息。也就是说对于一组样本来说,其方差越大,代表样本中含有的信息越多。因此,我们可将方差看作信息量的一个度量。
如果接受了这个观念,那么SST代表了被解释变量Y中所包含的信息;SSR代表了我们所构建的线性模型能够解释的Y中的信息;SSE代表了不能够被线性模型解释的Y中的信息。因此,信噪比的统计学含义就是:能够被模型解释的信息与不能够被模型解释的信息之比。