在股市与赌场中,数学模型有非常多,但是请注意,没有任何一种数学模型能够精确的预测股市。正所谓一百个经济学家有一百零一种理论,每个理论都只能事后分析股市走向,同时在一定程度上对股市进行预测。
17世纪荷兰数学家、物理学家和天文学家惠更斯最早研究了赌场中的概率问题。他的著作《论**中的计算》中使用概率论对**的结果进行过分析。例如:
游戏规则如下:
在这个问题中,需要采用古典概型。所谓古典概型,就是结果有N种可能,每种可能的概率都相等。事件A包含期中M种可能,因此事件A的概率就等于M和N的比,即:

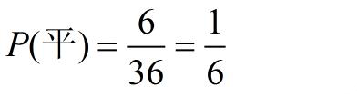
在这个游戏中,两个骰子都有6种可能,因此两个骰子的组合有N=36种可能。每种可能出现的概率都是1/36。如果两个骰子点数相同,那么就有1-1、2-2、...6-6共计M=6种可能,因此平的概率为:

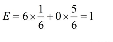
也就是说,如果押平,赢的概率是1/6,输的概率是5/6,如果以一元钱**,按照赔率,赢了就拿走6块钱,输了就拿走0元,我们获得的数学期望是:

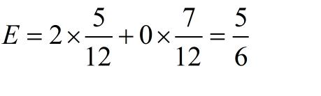
这说明:如果一直押平,而庄家不出千,那么概率上讲玩家是不赔不赚的。我们再来看押一边大。因为结果只有左大、右大、平三种结果,而且显然左大和右大的概率相等,因此

于是,押两边任何一边大,赢的概率都是5/12,输的概率是7/12,如果以一块钱做本钱,那么押两边任何一边大,赢了都拿走2元,输了拿走0元,最后获得的数学期望都是

我们会发现,押1元钱给任何一边大,平均会赔1/6元,是不合算的。
也许有同学据此分析,只要一直押平,就可以不赔钱了。但是以上分析完全是建立在庄家不出千,纯凭概率的基础上。事实上,庄家可以出千,影响到开牌结果,从而使你无论采用什么策略都必输无疑。在这里,就需要使用20世纪数学家冯诺依曼和约翰纳什发展的博弈论了。
股市交易说到底也就是在做概率的的交易,说也不敢说自己买的股市100%的会上涨。但是我们可以利用概率提高成功率。
1.在一个平台整理中,当股票向同一个方向连续上攻数次没有成功时,那向另一个方向发起攻击的概率就大多了,这在缠论中叫中枢逆转,也可以理解为,水都是向低处流了,股市当然向着阻力最小的方向运行了,如上图所示。看吧,股市中除了数学,物理原理都出来了。
2.选股中的应用 在选股中,我们经常设置多个条件,条件越多,选到的股票越少,这在数学中就是排列组合的问题了。就如下图一样,条件越多选到的越少。

3.风险比计算这是横量一比交易是否合理的一个指标,公式为,
风险比=预计收益/可能的风险
当风险比大于3时,代表这一笔交易合理,长期操作风险比大于的交易,在股市中获利的比例相当的高,不知大家在买入用有没有考虑过风险比的问题。
这一经典的数学原理在各行各业中都有完美经典之作,在股市中同样如此。
1.股市上涨中的强势回调点,一般为0.618;下跌中的弱势反弹也一般到0.618;

2.斐波纳契的变盘周期,也就是我们经常说的变盘时间点,1、2、3、5、8、13、21......越向后越接近0.618;
3.预判上涨空间和下跌空间一般为1.618或2.618等。
股市和数学有关系但是并不是绝对服从的关系,首先技术指标的编写,需要数学。
其次,你在做股市的基本面的分析和判断的时候,进行股票的估值时,需要用数学的知识建立一个模型,计算出股票真实的内在价值,作为你的投资一个标准。
最后,在技术面分析的时候,一些基本会用到的涨跌,k线,以及macd等等都要用到数学的知识。
之所以说不是绝对服从,主要的原因是,所有的指标,都没办法完全的计算出股票的内在价值,不确定的在外因素以及内在因素太多了,这些在投资模型里很难提现出来,而且股票投资七成靠心态,二成靠技术,一成靠运气,心态才是决定你胜负的关键。只能说合理的运用数学理论,会很大程度的提高我们股市交易的合理性。所以学好数学很重要,它是我们提高生活质量的一大助力。
相关推荐:
花好月圆
0
文章0
关注0
粉丝看来我是个小小白啊,股市和数学?