背后机制
这个章节从线性 SVM 分类器开始,将解释 SVM 是如何做预测的并且算法是如何工作的。如果你是刚接触机器学习,你可以跳过这个章节,直接进入本章末尾的练习。等到你想深入了解 SVM,再回头研究这部分内容。
首先,关于符号的约定:在第 4 章,我们将所有模型参数放在一个矢量θ里,包括偏置项θ0,θ1到θn的输入特征权重,和增加一个偏差输入x0 = 1到所有样本。在本章中,我们将使用一个不同的符号约定,在处理 SVM 上,这更方便,也更常见:偏置项被命名为b,特征权重向量被称为w,在输入特征向量中不再添加偏置特征。
决策函数和预测
线性 SVM 分类器通过简单地计算决策函数。来预测新样本的类别:如果结果是正的,预测类别ŷ是正类,为 1,否则他就是负类,为 0。见公式 5-2

图 5-12 显示了和图 5-4 右边图模型相对应的决策函数:因为这个数据集有两个特征(花瓣的宽度和花瓣的长度),所以是个二维的平面。决策边界是决策函数等于 0 的点的集合,图中两个平面的交叉处,即一条直线(图中的实线)

虚线表示的是那些决策函数等于 1 或 -1 的点:它们平行,且到决策边界的距离相等,形成一个间隔。训练线性 SVM 分类器意味着找到w值和b值使得这一个间隔尽可能大,同时避免间隔违规(硬间隔)或限制它们(软间隔)
训练目标
看下决策函数的斜率:它等于权重向量的范数。如果我们把这个斜率除于 2,决策函数等于 ±1 的点将会离决策边界原来的两倍大。换句话,即斜率除于 2,那么间隔将增加两倍。在图 5-13 中,2D 形式比较容易可视化。权重向量w越小,间隔越大。

所以我们的目标是最小化
,从而获得大的间隔。然而,如果我们想要避免间隔违规(硬间隔),对于正的训练样本,我们需要决策函数大于 1,对于负训练样本,小于 -1。若我们对负样本(即
)定义
,对正样本(即
)定义
,那么我们可以对所有的样本表示为
。
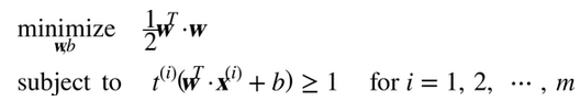
因此,我们可以将硬间隔线性 SVM 分类器表示为公式 5-3 中的约束优化问题

注
为了获得软间隔的目标,我们需要对每个样本应用一个松弛变量(slack variable)
。
表示了第i个样本允许违规间隔的程度。我们现在有两个不一致的目标:一个是使松弛变量尽可能的小,从而减小间隔违规,另一个是使1/2 w·w尽量小,从而增大间隔。这时C超参数发挥作用:它允许我们在两个目标之间权衡。我们得到了公式 5-4 的约束优化问题。

二次规划
硬间隔和软间隔都是线性约束的凸二次规划优化问题。这些问题被称之为二次规划(QP)问题。现在有许多解决方案可以使用各种技术来处理 QP 问题,但这超出了本书的范围。一般问题的公式在公式 5-5 给出。

对偶问题
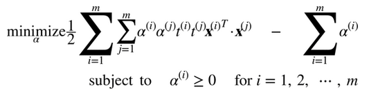
给出一个约束优化问题,即原始问题(primal problem),它可能表示不同但是和另一个问题紧密相连,称为对偶问题(Dual Problem)。对偶问题的解通常是对原始问题的解给出一个下界约束,但在某些条件下,它们可以获得相同解。幸运的是,SVM 问题恰好满足这些条件,所以你可以选择解决原始问题或者对偶问题,两者将会有相同解。公式 5-6 表示了线性 SVM 的对偶形式(如果你对怎么从原始问题获得对偶问题感兴趣,可以看下附录 C)

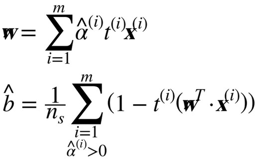
一旦你找到最小化公式的向量α(使用 QP 解决方案),你可以通过使用公式 5-7 的方法计算w和b,从而使原始问题最小化。

当训练样本的数量比特征数量小的时候,对偶问题比原始问题要快得多。更重要的是,它让核技巧成为可能,而原始问题则不然。那么这个核技巧是怎么样的呢?
核化支持向量机
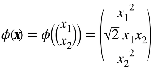
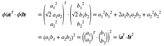
假设你想把一个 2 次多项式变换应用到二维空间的训练集(例如卫星数据集),然后在变换后的训练集上训练一个线性SVM分类器。公式 5-8 显示了你想应用的 2 次多项式映射函数ϕ。

注意到转换后的向量是 3 维的而不是 2 维。如果我们应用这个 2 次多项式映射,然后计算转换后向量的点积(见公式 5-9),让我们看下两个 2 维向量a和b会发生什么。

转换后向量的点积等于原始向量点积的平方:

Mercer 定理
根据 Mercer 定理,如果函数
K(a, b)满足一些 Mercer 条件的数学条件(K函数在参数内必须是连续,对称,即K(a, b)=K(b, a),等),那么存在函数ϕ,将a和b映射到另一个空间(可能有更高的维度),有。所以你可以用
K作为核函数,即使你不知道ϕ是什么。使用高斯核(Gaussian RBF kernel)情况下,它实际是将每个训练样本映射到无限维空间,所以你不需要知道是怎么执行映射的也是一件好事。注意一些常用核函数(例如 Sigmoid 核函数)并不满足所有的 Mercer 条件,然而在实践中通常表现得很好。
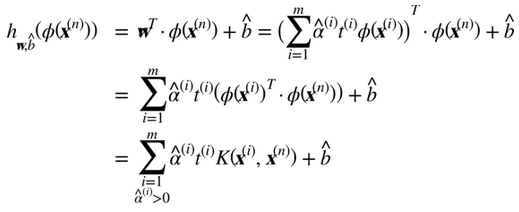
我们还有一个问题要解决。公式 5-7 展示了线性 SVM 分类器如何从对偶解到原始解,如果你应用了核技巧那么得到的公式会包含
。事实上,w必须和
有同样的维度,可能是巨大的维度或者无限的维度,所以你很难计算它。但怎么在不知道w的情况下做出预测?好消息是你可以将公式 5-7 的w代入到新的样本
的决策函数中,你会得到一个在输入向量之间只有点积的方程式。这时,核技巧将派上用场,见公式 5-11

注意到支持向量才满足α(i)≠0,做出预测只涉及计算为支持向量部分的输入样本
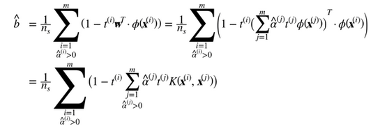
的点积,而不是全部的训练样本。当然,你同样也需要使用同样的技巧来计算偏置项b,见公式 5-12

如果你开始感到头痛,这很正常:因为这是核技巧一个不幸的副作用
在线支持向量机
在结束这一章之前,我们快速地了解一下在线 SVM 分类器(回想一下,在线学习意味着增量地学习,不断有新实例)。对于线性SVM分类器,一种方式是使用梯度下降(例如使用SGDClassifire)最小化代价函数,如从原始问题推导出的公式 5-13。不幸的是,它比基于 QP 方式收敛慢得多。

代价函数第一个和会使模型有一个小的权重向量w,从而获得一个更大的间隔。第二个和计算所有间隔违规的总数。如果样本位于“街道”上和正确的一边,或它与“街道”正确一边的距离成比例,则间隔违规等于 0。最小化保证了模型的间隔违规尽可能小并且少。
Hinge 损失
函数
max(0, 1–t)被称为 Hinge 损失函数(如下)。当t≥1时,Hinge 值为 0。如果t<1,它的导数(斜率)为 -1,若t>1,则等于0。在t=1处,它是不可微的,但就像套索回归(Lasso Regression)(参见 130 页套索回归)一样,你仍然可以在t=0时使用梯度下降法(即 -1 到 0 之间任何值)
我们也可以实现在线核化的 SVM。例如使用“增量和递减 SVM 学习”或者“在线和主动的快速核分类器”。但是,这些都是用 Matlab 和 C++ 实现的。对于大规模的非线性问题,你可能需要考虑使用神经网络