关于SVM
可以做线性分类、非线性分类、线性回归等,相比逻辑回归、线性回归、决策树等模型(非神经网络)功效最好

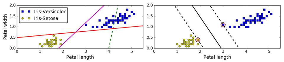
传统线性分类:选出两堆数据的质心,并做中垂线(准确性低)——上图左
SVM:拟合的不是一条线,而是两条平行线,且这两条平行线宽度尽量大,主要关注距离车道近的边缘数据点(支撑向量support vector),即large margin classification——上图右

使用前,需要对数据集做一个scaling,以做出更好的决策边界(decision boundary)

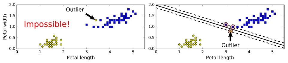
但需要容忍一些点跨越分割界限,提高泛化性,即softmax classification

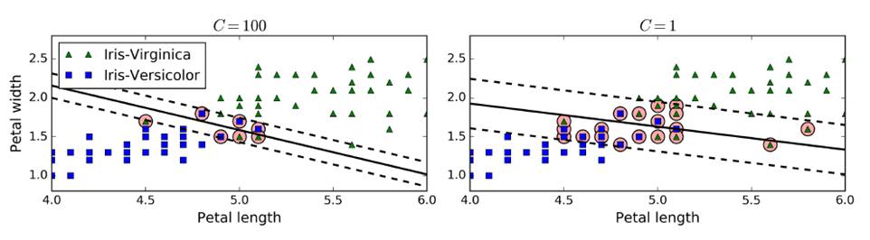
在sklearn中,有一个超参数c,控制模型复杂度,c越大,容忍度越小,c越小,容忍度越高。c添加一个新的正则量,可以控制SVM泛化能力,防止过拟合。(一般使用gradsearch)
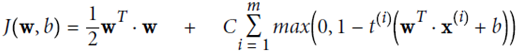
SVM特有损失函数Hinge Loss

LinearSVC
(liblinear库,不支持kernel函数,但是相对简单,复杂度O(m*n))
同SVM特点吻合,仅考虑落在分类面附近和越过分类面到对方领域的向量,给于一个线性惩罚(l1),或者平方项(l2)
import numpy as np
from sklearn import datasets
from sklearn.pipeline import Pipeline
from sklearn.preprocessing import StandardScaler
from sklearn.svm import LinearSVC
iris = datasets.load_iris()
X = iris["data"][:,(2,3)]
y = (iris["target"]==2).astype(np.float64)
svm_clf = Pipeline((
("scaler",StandardScaler()),
("Linear_svc",LinearSVC(C=1,loss="hinge")),
))
svm_clf.fit(X,y)
print(svm_clf.predit([[5.5,1.7]]))
对于nonlinear数据的分类
有两种方法,构造高维特征,构造相似度特征
使用高维空间特征(即kernel的思想),将数据平方、三次方。。映射到高维空间上
from sklearn.preprocessing import PolynomialFeatures
polynomial_svm_clf = Pipeline((
("poly_features", PolynomialFeatures(degree=3)),
("scaler", StandardScaler()),
("svm_clf", LinearSVC(C=10, loss="hinge"))
))
polynomial_svm_clf.fit(X, y)
这种kernel trick可以极大地简化模型,不需要显示的处理高维特征,可以计算出比较复杂的情况但模型复杂度越强,过拟合风险越大
from sklearn.svm import SVC
poly_kernel_svm_clf = Pipeline((
("scaler", StandardScaler()),
("svm_clf", SVC(kernel="poly", degree=3, coef0=1, C=5))
))
poly_kernel_svm_clf.fit(X, y)
SVC(基于libsvm库,支持kernel函数,但是相对复杂,不能用太大规模数据,复杂度O(m^2 *n)-O(m^3 *n))
可以直接使用SVC(coef0:高次与低次权重)

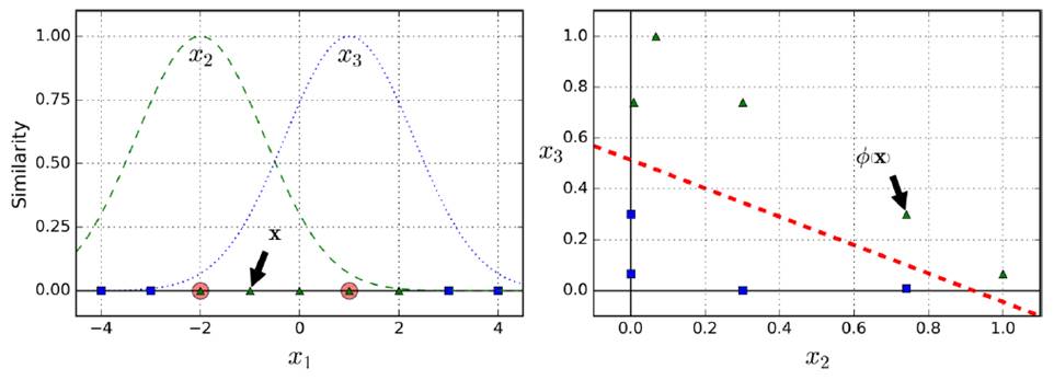
添加相似度特征(similarity features)
例如,下图分别创造x1,x2两点的高斯分布,再创建新的坐标系统,计算高斯距离(Gaussian RBF Kernel径向基函数)

gamma(γ)控制高斯曲线形状胖瘦,数据点之间的距离发挥更强作用
rbf_kernel_svm_clf = Pipeline((
("scaler", StandardScaler()),
("svm_clf", SVC(kernel="rbf", gamma=5, C=0.001))
))
rbf_kernel_svm_clf.fit(X, y)

如下是不同gamma和C的取值影响
SGDClassifier(支持海量数据,时间复杂度O(m*n))
SVM Regression(SVM回归)
尽量让所用instance都fit到车道上,车道宽度使用超参数
控制,越大越宽
使用LinearSVR
from sklearn.svm import LinearSVR
svm_reg = LinearSVR(epsilon=1.5)
svm_reg.fit(X, y)
使用SVR
from sklearn.svm import SVR
svm_poly_reg = SVR(kernel="poly", degree=2, C=100, epsilon=0.1)
svm_poly_reg.fit(X, y)

数学原理

w通过控制h倾斜的角度,控制车道的宽度,越小越宽,并且使得违反分类的数据点更少
hard margin linear SVM
优化目标:
,并且保证

soft margin linear SVM
增加一个新的松弛变量(slack variable)
,起正则化作用
优化目标:
,并且保证
放宽条件,即使有个别实例违反条件,也惩罚不大
LinearSVM
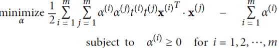
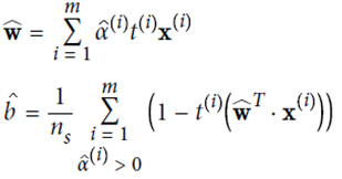
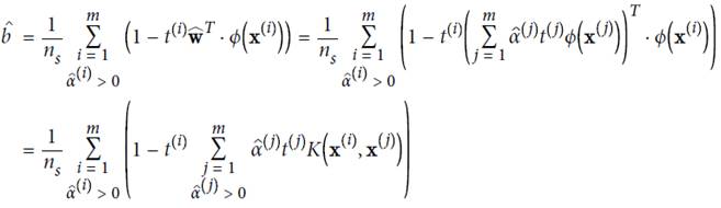
使用拉格朗日乘子法进行计算,α是松弛项后的结果

计算结果:
取平均值

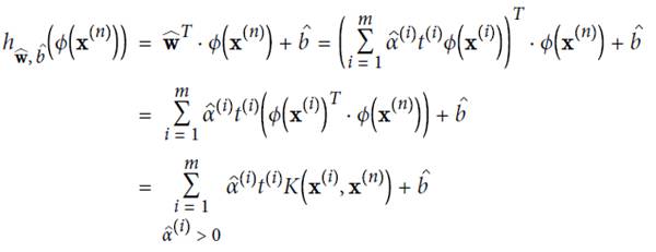
KernelizedSVM
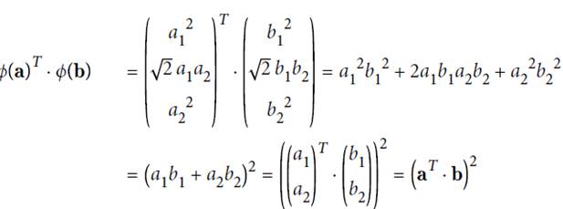
由于
故可先在低位空间里做点积计算,再映射到高维空间中。
下列公式表示,在高维空间计算可用kernel trick方式,直接在低维上面计算



几个常见的kernal及其function
