Step1:Enjoy
经济概念越来越多地出现在了加密货币文献中。其中因Chris Burniske和Vitalik Buterin而在该领域为人熟知的理论是货币数量论(数量论)。尽管在分析与理解涉及到token的经济现象时,货币数量论十分有用,但使用该理论的方法却并非都是正确的。本文旨在提出数量论在token经济中的正确应用方法。
数量论在经济文献中最常用的版本是由耶鲁大学著名经济学家Irving Fisher在其1911年出版的《货币的购买力》(The Purchasing Power of Money)一书中提出的。Fisher的货币数量论始于这样一个命题,即经济的产出要用货币购买,且在一个时期内可以多次花费单位货币。将这两个命题结合起来,我们便得到了货币数量论:
方程式 (1)
M代表经济中的货币数量(以经济货币为单位)
V代表货币周转速率 (Velocity of Money),表示一定时期单位货币的周转次数(标量——无单位)
Q代表经济产量(以产出为单位)
P代表价格水平,用每单位经济产量的货币单位来衡量
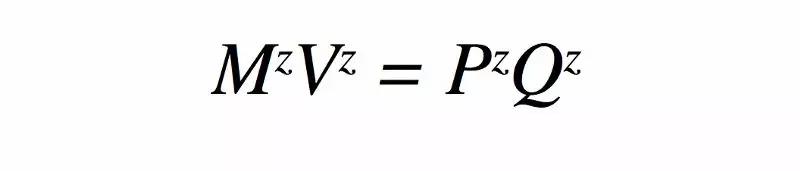
方程(1)说明一个时期内货币总支出MV等于该时期经济产出总的名义价值PQ。在token领域使用货币数量论的正确方法是将方程式(1)应用于使用token的项目经济中。设想一个使用token的项目经济,在这里我称该token为ZZZ,将方程(1)应用于该经济,则输出为:

方程式 (2)
Mz是现有的ZZZ的单位数量。
Qz 是一个时期内项目经济的产出。
Pz是以ZZZ为单位的单位Qz的价格(ZZZ/单位Qz)
请注意以下两个要点:
1、速度,Vz,指一个时期内单位ZZZ在该项目产出上的周转次数。速度并不是指单位ZZZ以美元或其他货币实现的周转次数
2、Pz指以ZZZ为单位的单位Qz的价格。而并非是以ZZZ为单位的美元价格。为使方程(2)成立,等式两边的单位应保持一致。而只有Pz是以ZZZ为单位的单位Qz的价格时,方程(2)才会成立。
上面第(2)点极为重要。若不能满足,在token中应用货币数量论时就会出现错误。
两种正确的应用
经济文献中应用数量论的一种方法是找出货币供应与价格水平之间的关系。
通过移动(1)中的Q可以得到这个关系:

方程式 (3)
该方法需要给定M、Q和V。
将该等式用于项目经济,可得出:

方程式 (4)
方程(4)说明项目经济中的价格水平是未偿付的ZZZ的数量、那些token在项目产出上的周转速度以及项目产出三者间的函数。数量论的第二个正确应用是将(1)重写为:

方程式 (5)
根据方程(5),在不改变产出数量或项目产出的规定价格的情况下,可以计算出为支持项目产出的总支出(以ZZZ为单位)而必须提供给项目经济的token数量。
两种误用
Token数量论的误用之一表面上看起来类似于方程(3),但其实两者大相径庭,同时也是不正确的。加密货币文献有时使用的方程式看起来像以美元来计价ZZZ的数量论。

方程式 (6)
这里E是token的美元价格(即ZZZ / 美元)
方程(6)是数量论的误用,因为(6)等号两边的单位不同。当(6)用等号两边的单位来表示时,得到:

方程式 (7)
方程(6)要想成立,等号两边的单位必须保持一致,这点与方程式(1)一样。然而,(7)中等号右边并没有出现美元(USD)。顺便说一下,我们要注意该项目是否以美元来为其产出计价,这样便不会出现上文提到的单位问题,也就可以使用类似于(4)的方程式了。我们用π作为Qz的美元价格。那么该方程式:

方程式 (8)
等号两边单位就一致了,且可以用来以美元计价ZZZ了。当然,这也会产生一个问题:如果整个产出以美元计价出售,那么token在该项目经济中又扮演什么角色呢?
货币数量论的第二个误用是将(1)重写为:

方程式 (9)
方程(5)与(9)之间的区别是(5)以ZZZ表示项目经济产出的名义价值(PzQz),而(9)以美元表示名义价值(πQz)。单位的问题又出现了。方程(9)中等号左边的单位是ZZZ,而等号右边则是美元。这是不正确的。
这里的底线是:要正确使用数量论,价格必须是正确的。
篇外语:如果该项目的产出不以美元而只以ZZZ计价,那么可以利用经济模型来解决计价问题,比如那些用于决定国家货币之间的汇率的经济模型。购买力平价便是这样的经济模型(购买力平价是根据各国不同的价格水平计算出来的货币之间的等值系数。目的是对各国的国内生产总值进行合理比较。)。
该模型背后的理念是套利会驱动两种货币间的汇率达到一个点,到达该点时,不管用哪种货币购买一件商品,该商品的价格都是一样的。(如果在不同的地区购买该商品,且使用的货币具有地域性,那么运输、关税以及其他此类费用则需要进行调整。在这里我忽略了这类费用,因为他们跟本文讨论的内容不相关。)
换句话说,购买力平价意味着E= P(z) / P(usd),其中P (usd)是项目商品的美元价格。也就是说,P(usd)不是美国的价格水平,而是项目商品以美元为单位的价格。由于项目商品并不以美元为单位进行出售,因而很难得到P(usd),所以采用该方法需要找到一些接近项目商品且以美元计价的代用品,然后在上面的方程式中替代P(usd)的美元价格。